中國粉體網訊 自2002年碳納米管的熒光特性首次被觀測到以來,熒光光譜已經被廣泛地應用于表征碳納米管的原子結構、光電子和物理特性。不同于其他熒光材料,對于一維碳納米管而言,因為其發光波長和吸收波長存在嚴重的重疊,即斯托克斯位移非常小,所以光子再吸收效應將對熒光產生嚴重影響,直接導致了碳納米管的熒光光譜形狀和熒光強度強烈地依賴于碳納米管的濃度。這個問題使得熒光光譜定量表征碳納米管的碳原子含量、本征熒光量子效率等變得非常困難。
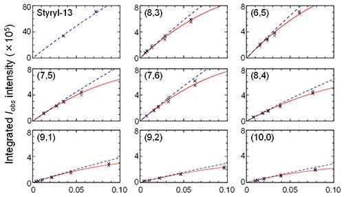
近期,中國科學院物理研究所/北京凝聚態物理國家研究中心先進材料與結構分析實驗室副研究員魏小均、研究員劉華平和日本產業技術綜合研究所首席研究員Hiromichi Kataura等合作,在碳納米管熒光量子效率研究方面取得進展。研究團隊基于凝膠色譜分離技術制備了不同手性的碳納米管材料(圖1),并定量解析了碳納米管熒光光譜中的光子再吸收效應(圖2和圖3)。隨后基于再吸收效應修正了不同手性碳納米管的本征熒光量子效率(圖4和表1),并首次通過實驗揭示了碳納米管熒光量子效率和能帶結構的依存關系(圖5)。實驗結果表明:(i)由能帶結構所支配的光學聲子的馳豫過程是決定碳納米管熒光量子效率的主要因素;(ii)具有類似直徑的碳納米管,因為手性和能帶結構的不同,其熒光量子效率存在數量級的差異。
此項工作不僅解決了如何使用熒光光譜定量表征碳納米管熒光量子效率、各種手性碳納米管含量分布等的瓶頸問題,而且為今后如何選取具有本征優異光電性質的單一手性碳納米管,發展高性能光電子器件、生物成像、分子探測等應用提供了重要指導作用。
該工作以Photoluminescence Quantum Yield of Single-Wall Carbon Nanotubes Corrected for the Photon Reabsorption Effect 為題,發表在《納米快報》雜志上。這項研究得到國家自然科學基金(51820105002, 11634014, 51872320)、科技部國家重點研發計劃(2018YFA0208402)等的支持。

圖1:基于凝膠色譜分離技術制備的不同手性碳納米管材料。

圖2:碳納米管光吸收和熒光特性的濃度依存性。

圖3:本征的、再吸收的和觀測到的熒光光譜解析。

圖4:不同手性碳納米管熒光光譜積分強度的濃度依存性。
表1:不同手性碳納米管的結構參數和每個碳原子熒光量子效率。


圖5:碳納米管熒光量子效率的手性依存性。
(中國粉體網編輯整理/墨玉)
注:圖片非商業用途,存在侵權告知刪除!
















