
北京精微高博儀器有限公司

已認證
北京精微高博儀器有限公司
已認證
頁巖氣是一種賦存于富有機質泥頁巖及其夾層中,以吸附和游離狀態為主要存在方式的非常規天然氣,成分以甲烷為主,含量一般在85%以上,最高可達99.8%,是一種清潔、高效的能源資源和化工原料。頁巖氣以兩種主要方式賦存在頁巖烴源巖中:1) 孔隙和天然裂縫中的游離氣體;2) 有機物和無機礦物表面上的吸附態氣體[1],因此頁巖吸附能力對頁巖開采性評價具有重要意義,對于頁巖氣吸附能力的研究,頁巖復雜的納米級孔隙結構是決定吸附量的重要因素。
當前測定頁巖孔隙結構的方法有氣體吸附法和壓汞法,通常采用低溫氮氣吸附法表征微介孔,壓汞法表征大孔,壓汞由于毒性和無法重復使用的缺點常用于最后檢測,低溫氮氣吸附具有無損檢測和樣品可回收的優點而備受青睞,但頁巖巖心取樣尺寸與常規低溫氮氣吸附所用樣品管相差較大,當前解決方案是將頁巖樣品研磨后進行測試,研磨后的樣品會破壞孔隙結構,測試結果不能準確表征取樣巖心真實吸附量,針對上述情況,我公司研發出巖心專用樣品管并進行了測試。
實驗部分
使用精微高博BK400儀器和巖心專用樣品管對巖心樣品進行低溫氮吸附測試并分析。
專用樣品管
巖心專用樣品管轉換接頭、巖心專用樣品管、芯棒和填充塊如下圖所示,可進行尺寸在直徑25 mm,長度110 mm以內的巖心樣品的測試;
巖心專用樣品管及芯棒
樣品管對應填充塊
樣 品
此次實驗的樣品為碳酸巖和砂巖,碳酸巖是對碳酸鹽類礦物組成的巖石的泛稱,由碳酸鹽礦物(>50%)組成,礦物成分復雜含有一定量的原生巖漿礦物及稀有稀土元素礦物,可形成稀有稀土元素礦床。主要結構成分有顆粒、泥、膠結物、生物骨架和晶粒,次要結構組分有其他化學沉淀物質、有機質等,孔隙是其派生結構組分,這些有機質和孔隙結構組分是頁巖氣的運移和儲集的重要通道。
砂巖是一種沉積巖,主要由各種砂粒膠結而成,砂質沉積物在沉積時形成孔隙,碎屑顆粒、雜基、膠結物等在一定的成巖環境中發生不同程度的溶解作用也形成了砂巖中的孔隙,這些孔隙結構是頁巖氣的儲集和運移的通道。
為研究上述碳酸巖和砂巖吸附性能和孔隙結構特征,采用巖心專用樣品管在BK400物理吸附儀上進行低溫氮吸附測試。
測試結果
碳酸巖測試結果
碳酸巖樣品進行低溫氮吸附測試后的等溫線見下圖1,等溫線類型為類Ⅲ型等溫線,由于吸附質與吸附劑表面相互作用力較弱,所以在低壓區吸附量較小且向下凸向X軸,吸附量隨相對壓力的增加而增大,有較小的滯后環,接近飽和蒸汽壓時發生類似大孔的吸附等溫線迅速上升。3次重復性測試表明測試結果重復很好;
圖1 碳酸巖等溫線
碳酸巖BET比表面積、孔容積和平均孔直徑結果見下表1所示,通過極差可知,碳酸巖樣品BET極差結果在0.002以下。
表1 碳酸巖樣品重復性測試結果
砂巖測試結果
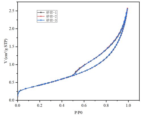
對砂巖樣品進行低溫氮吸附測試,等溫線見下圖2,等溫線類型為Ⅳ型等溫線,在低P/P0區曲線凸向上,相對壓力在約為0.5時吸附質發生毛細凝聚,等溫線迅速上升,脫附等溫線與吸附等溫線不重合且位于吸附等溫線的上方產生吸附滯后環,接近飽和蒸汽壓時發生類似大孔的吸附等溫線迅速上升。經過3次等溫線測試表明砂巖測試結果重復很好;
圖2 砂巖等溫線
滯后環是由于吸附亞穩態和網狀分子結構的影響,吸附未達到熱力學平衡造成凝聚延遲,脫附路徑則取決于復雜的孔道結構、孔道阻塞以網絡效應。砂巖為H3型吸附滯后環,存在介孔,見下圖3所示其BJH孔徑分布圖,最可幾孔徑為10.43 nm。
圖3 砂巖BJH吸脫附孔徑分布報告圖
砂巖存在的納米介孔增強了砂巖的吸附能力,相比碳酸巖其吸附量增大,通過計算砂巖BET比表面積值為1.6m2/g,大于碳酸巖的比表面積值,孔容積與碳酸巖相比大一個數量級。砂巖樣品3次測試見下表2所示,計算BET極差結果小于0.01。
表2 砂巖樣品重復性測試結果
結 論
通過上述實驗的測試結果可知:采用巖心專用樣品管可滿足尺寸在直徑25 mm,長度100 mm以內的巖心測試,且BET測試的重復性極差小于0.01。
參考文獻
[1] Zhu H Q, Jia A L, Wei Y S, et al. Pore structure and supercritical methane sorption capacity of organic-rich shales in southern Sichuan Basin[J]. Acta Petrolei Sinica, 2018, 39(4): 391-401.
[2]楊曉勇,章雨旭,鄭永飛等.??白云鄂博賦礦白云巖與微晶丘和碳酸巖墻的碳氧同位素對比研究.《地質學報》,2000
[3]河海大學《水利大辭典》編輯修訂委員會.《水利大辭典》 .上海.上海辭書出版社.2015
相關產品
更多
相關文章
更多
技術文章
2025-08-12技術文章
2025-06-14技術文章
2025-05-09技術文章
2025-03-01虛擬號將在 秒后失效
使用微信掃碼撥號