
濟南微納顆粒儀器股份有限公司
鉆石會員
已認證

濟南微納顆粒儀器股份有限公司
鉆石會員
已認證
Mie 散射系數的新算法
王少清 任中京 張希明 何芳 江海鷹
(山東建筑材料工業學院,濟南 250022)
提要:介紹了一種計算Mie散射系數的新方法,給出了計算實例。
關鍵詞:米氏散射,Mie系數,Mie計算
New algorithm of Mie scattering parameters
Wang Shaoqing Ren Zhongjing Zhang Ximing HeFang Jiang Haiying
(Shandong Institute o f Building Materials,Jinan 250022)
Abstract:A new algorithm of calculating Mie Parameters was introduced. Some calculation results done with this algorithm were given.
Key words: Mie scattering ,Mie parameters,Mie calculation
1 引言
Mie 理論是球形顆粒對單色光的散射場分布的嚴格解析解[1],目前在環保、動力、氣象、天文、兩相流及粉體顆粒尺寸分布測量等工程技術領域中有廣泛的應用。利用單一顆粒或顆粒群光散射場的測量數據。可以反推得散射顆粒或顆粒群的很多物理性質,如顆粒的尺寸、顆粒的折射率等[2]。但反推必須事先計算出各種尺寸的顆粒在各種復折射率下的散射場分布數據。1968 年Dave[3]最先發表了完整的Mie散射計算方法,以后Lentz[4]和Wiscomb[5]又針對部分計算提出了新算法。國內也有人發表了他們自己的算法[6、7、8]。但總的看來,這些算法均有各自的局限性。尤其是當顆粒尺寸或折射率的虛部值較大時,往往計算速度過慢或產生溢出和不收斂等現象。本文介紹作者發展的Mie 散射新算法。該算法的特點是不受顆粒尺寸及折射率的限制,不會產生溢出和不收斂的現象,且具有較快的計算速度。
2 Mie散射系數的計算公式
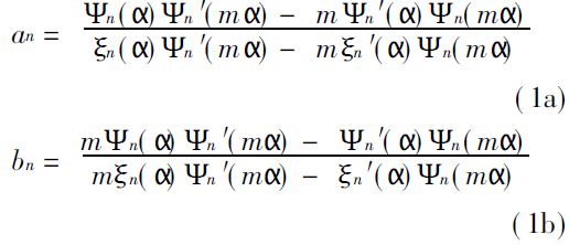
Mie 散射計算的中心問題是計算Mie 散射系數an 和bn,其表達式為[9]

其中為顆粒的尺寸參數,定義為α=πd/λ,d為顆粒直徑,λ為入射光在顆粒周圍介質中的波長,而m為顆粒在周圍介質中的相對復折射率,即m= m1 + im2 ( m2< 0) , 式中i 為虛數單位。而Ψn( Z) 和ξn( Z) ( Z 既表示α,又表示mα)的表達式為
Ψn( Z)=(πZ/2)Jn+1(Z)
ξn( Z)=Ψn( Z)+iΧn(Z)
Χn(Z)= ? (πZ/2)( ? 1)n-1J-(n-1)(Z)
= ? (πZ/2)Nn+1(Z)
3 計算中產生溢出的原因
計算Mie 散射系數須先計算Ψn 和Χn。一般采用遞推的方法。遞推又分為向前遞推( 即從n= 0 開始) 與向后遞推( 即從n= N 開始至n=0, N 為預先設定值) 。實驗表明,向前遞推總是快于向后遞推。Ψn 和Χn的初值為

分析以上兩式可知,當m2≠0 時, 若顆粒尺寸d很大, 或復折射率的虛部值m2很大,將使得乘積m2d很大,可使兩式中的項exp( - m2 α) =exp ( - πm2d/ λ) 的值超過計算機的數據限,從而產生溢出,這是產生溢出的重要原因。另外,在遞推過程中,不恰當的算法也可能造成溢出。
4 an和bn的新算法
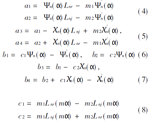
為解決上述問題,作者提出了新的算法。將an和bn的公式變形如下: 令

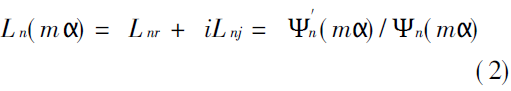
其中Lnr、Lnj分別表示Ln(m)的實部與虛部。將(2)式代入(1)式,并用anr、anj和bnr、bnj分別表示的實部與虛部。如此可推得

在上述四個公式中采用比值的形式是非常重要的,這樣可避免遞推過程中當ai與bi 較大時乘法運算可能產生的溢出。這是本算法的一個重要特點。在以上四式中

由于
均為實變量函數,計算不產生溢出。關鍵是
和
的算法如何處理,才能保證計算中不產生溢出。在Lentz的算法中是采用連分式計算Ln的值,其精度的保證是由在大量計算基礎上得出一個截斷項數N與參數a與m的經驗公式而實現的。這樣的經驗公式,一則有實用上的局限性,再則也會帶來截斷誤差。文獻(6)對此經驗公式做了改進,但仍陷于a=1~100,m1=1~2,m2=0~1的范圍。下面介紹本文作者發展的關于Ln的新算法。該算法的特點是不受a及m值的限制,不會產生溢出或不收斂等病態現象,且具有較快的計算速度。令


上面導出的(3) - (20)諸式,構成了Mie系數an和bn的完整算法。由于an和bn是從n= 1開始計算,利用初值公式(16) - (20)即可算得任意級數的an和bn的值,故沒有舍入誤差的問題。從(16)式可見,因為y= m2ɑ≤0, 故無論m2和ɑ取何值均不會產生溢出,再加上(3)的各式中采用了比的形式,又避免了計算過程中的溢出,這就從根本上解決了溢出的問題。
5 計算實例
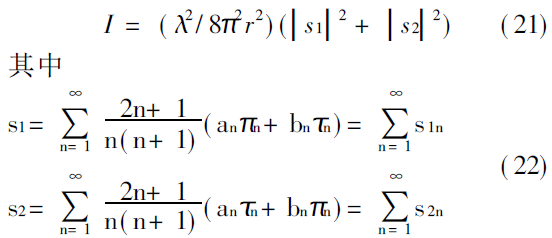
利用以上算法編制了計算顆粒散射場強度和消光系數的計算機程序。當波長為λ的單位振幅的平面自然光入射顆粒時,顆粒的散射光強為[9]


Ξ為計算機在雙精度下的最小數據限。
圖1示出散射光強的一組計算實例。其中取m1=1.33,m2=-0.4,λ=0.6328三圖分別對應于顆粒的直徑為d=0.001,1.0和30μm。而d圖為顆粒直徑d=100μm時散射花樣的局部放大。可見,隨著顆粒尺寸的增大,前向散射迅速加強,并且出現了復雜的旁瓣。

實部(a)與虛部(b)的變化情況。可見隨著m1和m2的增大,雖然顆粒的尺寸保持不變,但散射也加強,且后向散射隨著m1和m2的增大而加強。

圖3給出有關消光系數的計算結果,其中a)和b)分別表示消光系數隨折射率實部與虛部的變化情況。可見隨著顆粒直徑的增大,消光系數趨近于2; 折射率的增大,尤其是折射率虛部的增大,使這一趨近變得更快和更明顯。另外當折射率的虛部m2= 0時,消光系數隨顆粒直徑的增大而振蕩;但當m2≠0 時,振蕩迅速消失。


光強最大值處所對應的FM(Z)的值即由上式確定。由上式也可見:此極限情況下的焦移大小主要由S0/f及Na所決定。
參考文獻:
[1]M. Bor n and E. Wolf, Principles of optics ( sixt hedition ) , Pergaman Press ( OXFORD, NEW YORK, PARIS) , pp611(1980)
[2]Peter Chylek, V. Ramasw amy , A. Ashkin and J.M . Dziedzic,“Simultaneous determination o f refractiv endex and size o f spherical dielectric particles from light scattering data”,Appl. Opt . ,Vo l. 22, No . 15, p2302- 2307(1983)
[3]J. V. Dave, Repo rt 320 - 3237 ( IBM Scientific center , 1968)
[4]W. J. Lentz, Appl. Opt. , 15, 668( 1976)W. J. Wiscome, Appl. Opt, Vol. 19, No. 9, pp1505( 1980)
[6]顧冠亮等, 有關光散射物理量的數值計算, 上海機械學院學報, 1984 年4 期pp21
[7]余其錚等, Mie 散射算法的改進, 哈爾濱工業大學學報, 1987 年3 期, pp21
[8]鄭剛等, M ie 散射的數值計算, 應用激光, Vol.12, No . 5, pp220( 1992)
[9]H. C. v an de Hulst , Lig ht scatter ing by small particles,Do ver Publica tion lnc. , New Yor k, chp. 13( 1981)
相關產品
更多
相關文章
更多
技術文章
2021-06-28技術文章
2018-11-27技術文章
2018-11-23技術文章
2018-11-20
虛擬號將在 秒后失效
使用微信掃碼撥號