
濟南微納顆粒儀器股份有限公司
鉆石會員
已認證

濟南微納顆粒儀器股份有限公司
鉆石會員
已認證
王沙,楊志安,任中京
(濟南大學理學院,山東濟南250022)
摘要:互信息函數反映的是系統中的非線性關聯,是將線性的關聯函數對非線性系統的一種推廣,動態光散射領域目前未見到用計算互信息函數進行分析的報道。本文中通過計算互信息函數,對動態光散射檢測電機轉速的時間序列進行分析,研究表明,互信息函數法能準確地測出電機轉速。同時,由于互信息函數自身的優點——能實際地反映出數據之間的相互關聯,因此,與自相關函數法比較,互信息函數法反映出了更多的動力學信息。目前正在把互信息函數分析法用于檢測顆粒粒徑的實驗當中。希望利用互信息函數分析的方法,在動態光散射檢測顆粒粒徑的實驗當中得到更多的動力學信息。并進一步應用于納米顆粒粒徑的動態光散射檢測中。
關鍵詞:互信息函數;動態光散射;自相關函數。
本文利用互信息函數對動態光散射法測電機轉速的實驗進行了研究,準確測出了電機的轉速。文中比較了互信息函數法與自相關函數法[2]兩種方法的優劣。
1. 原理
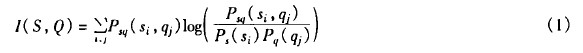
按Shannon的信息理論,設S表示一組訊號為s1,s2,…,sn的系統,出現s1的概率Ps(s ?),i = 1,2,…,n。對另一組訊號為q1,q2,…,qn的系統Q,出現qj的概率是P q (qj),j= 1,2,…,n。s ?和qjq同時出現的概率Psq(s ?, qj)?;バ畔⒌亩x為[3]

I(S, Q) 度量的是變量S與Q之間的一般性關聯程度,或比值Psq(s ?, qj)/ Ps(s ?j) Pq(qj) 的整體不平整程度?;バ畔⒃酱?,變童S與Q之間的關聯程度越強,系統的不平整程度越高,系統越不均勻;互信息越小,S與Q之間的關聯程度越弱,系統的不平整程度越低,系統越均勻。
在光子互信息法檢測電機轉速的實驗研究中,主要關心的是測量數據隨延遲時間T的周期性,從而得出電機的轉速。在計算中,對某給定的延遲時間T,令[s,q]=[x(t),x(t+T)],這時互信息I是延遲時間T的函數I (T)。
因為電機轉動是周期性的動力系統,其狀態隨時間的演化可表示成s = x(T)= Sint,則延遲坐標可表示成q = x(t+T)= sin(t+T),其中T是延遲時間。當延遲T1=0 時,q = x(t+T)= sin(t+0)=sin t,這時s與q是同一變量與,s與q間的關聯最強,這時I (T1)取極大值。設系統周期是τ,當
T2=τ時,q = x(t+τ)= sin(t+τ)=sint,使互信息I (T2)又取極大值,則兩個極大點之差T2 - T1= τ即為系統的周期。所以只要找出互信息I的兩個相鄰極大值所對應的極大點T1和T2,其差值τ= T2 - T1就是系統的周期。當周期τ確定后,就可求出轉速。另外利用由互信息I (T)的極大值來確定周期,易于辨別和計算。
在測電機轉速的實驗中,由于電機所帶動的轉動圓盤是不完全均勻的,在轉動的過程中,從其上面散射的光就會呈現周期性。我們首先用探測器來接收這些散射光,得到散射光的時間序列;其次編制出計算互信息的程序,計算出給定延遲時間T值下的互信息值I (T),得出互信息函數曲線;最后利用互信息函數曲線,求出轉動的周期性,從而求出轉速。
2. 實驗裝置
實驗系統如圖1所示。

1.永磁直流電動機;2.圓盤;3.5.光闌圖;4.透鏡;6.計數器圖
圖1實驗系統結構示意圖

圖2取樣點處光子數隨時間的變化
用直流電動機帶動圓盤轉動,電機轉速可調。在一定的測量時間內,采集的光子數隨時間變化的曲線如圖2所示。從圖3可以看出互信息處理周期變化的信號顯現出來。
3.由實驗數據計算電機轉速
對電機采集某一轉速下隨時間變化的光子數,用自編軟件對采集到的數據計算互信息函數,可得到互信息的函數曲線I (T)。分析互信息函數曲線的周期特性,可計算出相應的轉速。

圖3對實驗數據的互信息處理

圖4同一組實驗數據的自相關函數圖
對一組數據的互信息曲線(如圖3)進行相應轉速計算:由互信息極大點可知圓盤轉動周期為25 x 2 ms,轉速n = 60/25×2×10-3 = 1200 r/min。所得結果與文[2]所用的自相關函數法(圖4)所計算出的電機轉速相同。這說明把互信息函數法應用于動態光散射測電機轉速的實驗中是可行的。
4.討論
本文將互信息函數應用于動態光散射檢測電機轉速的研究,準確得測出電機轉速,這一結果與自相關函數法的結果一致。并且互信息函數法是真正意義上的相互關聯,可得到更多系統的動力學信息,這些信息常常被淹沒于噪聲中。
目前正在把互信息函數分析法用于檢測顆粒粒徑的實驗當中。希望利用互信息函數分析的方法,在動態光散射檢測顆粒粒徑的實驗當中,得到更多的動力學信息。并進一步應用于納米顆粒粒徑的動態光散射檢測中。
參考文獻:
[1] 徐秉錚. 信號分析與相關技術[M]. 北京: 科學出版社, 1981.
[2] 竇彥玲, 等. 光子相關法檢測電機轉速的實驗研究[J]. 濟南大學學報, 2003, 17(11).
[3] 概率論[M]. 北京: 人民教育出版社, 1979.
[4] 楊志安, 等. 用等間距格子法計算互信息函數確定延遲時間[J]. 計算物理, 1995, 12(4): 443.
Analysis On the Mutual Information Function
for Testing Dynamic Light Scattering Method
WANG Sha. YANG Zhi-an, REN Zhong-jing
(Science School, Jinan University, Jinan 250022,
Abstract: The mutual information function is adapted to develop the experiment of testing the rotational speed of the electrical machinery by the Photon Correlation Technique and picked up the rotational speed's information of the electrical machinery. It indicated that the mutual information function could be applicable to the experiment of testing the electrical machinery by the photon correlation technique as same as the autocorrelation function. At the same time, because of the advantage of the mutual information function, it could actually reflect the mutual correlation of the data and paid more attention to the details. So it could reflect a lot of dynamics’ subtle information.
Key words: mutual information function;dynamic light scattering;autocorrelation function
相關產品
更多
相關文章
更多
技術文章
2021-06-28技術文章
2018-11-27技術文章
2018-11-23技術文章
2018-11-20
虛擬號將在 秒后失效
使用微信掃碼撥號