
麥克默瑞提克(上海)儀器有限公司

已認證
麥克默瑞提克(上海)儀器有限公司
已認證
微孔材料是指那些含有孔徑或孔寬小于 2nm 孔的材料,比如活性炭、分子篩、催化劑載體、MOF 材料和生物質衍生材料等。對于微孔的孔道內表面積、孔體積、孔徑分布、孔隙率和孔表面能等孔道信息的表征,一般可選用氣體物理吸附法,并結合 t-plot、DA/DR、HK 或 DFT/NLDFT 等模型去分析等溫線數據。
本文將介紹微孔孔徑分析之DR法。
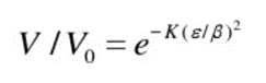
DR 法全稱是 Dubinin-Radushkevich 孔體積填充理論(微孔填充),此理論假設微孔孔徑具有均勻的高斯分布:
其中 V 是在一定相對壓力下的累計吸附量,V0 是所有微孔總吸附量,K 是苯蒸汽特征吸附能相關常數,β 為相似性系數,ε 為 Polanyi 吸附勢。
Polanyi 吸附勢定義為:
吸附勢可以看成吸附空間兩點的化學勢之差,吸附質吸附形態為飽和液體。
將式(2)帶入式(1)后,再兩邊取自然對數可得 DR 方程:
取 P/P0 在 10-4 至 10-1,通過線性段截距和斜率可得微孔總吸附量和吸附質特征吸附能 E=βE0,(E0 為苯蒸汽特征吸附能,β 為相似性系數)。
假設微孔填充為單層覆蓋,則通過 V0(即下式中 Vm)可以計算微孔孔內表面積 SA:
DR 法作圖線性度依賴于吸附質總類,如苯和壬烷蒸汽線性度好。
同時通過 DA 法,可以通過下式計算微孔孔徑 r 分布:
其中 D 為色散力作用能,當 n 取 2 時,DA 法就等價于 DR 法。
關于麥克默瑞提克
Micromeritics 是提供表征顆粒、粉體和多孔材料的物理性能、化學活性和流動性的全球高性能設備生產商。我們能夠提供一系列行業前沿的技術,包括比重密度法、吸附、動態化學吸附、壓汞技術、粉末流變技術、催化劑活性檢測和粒徑測定。
公司在美國、英國和西班牙均設立了研發和生產基地,并在美洲、歐洲和亞洲設有直銷和服務業務。Micromeritics 的產品是全球具有創新力的知名企業、政府和學術機構旗下 10,000 多個實驗室的優選儀器。我們擁有世界級的科學家隊伍和響應迅速的支持團隊,他們能夠將 Micromeritics 技術應用于各種要求嚴苛的應用中,助力客戶取得成功。
最新動態
更多