
上海依肯機械設備有限公司
金牌會員
已認證

上海依肯機械設備有限公司
金牌會員
已認證
淺談粉體顆粒在液相中的分散過程
分散的實質就是使顆粒在一定環境下分離散開的過程。在超細粉體的制備過程中,“粉碎與反粉碎”過程實際就是粉碎過程中新生粒子的分散和團聚問題,它對最終產品的細度起到至關重要的作用。在粉體制備行業,粉體分散性的好壞直接影響著分級效果和分級產品的細度及均勻性;另外,分散性對粉體的輸送、混合、均化和包裝的作用也不容忽視。在化工領域,如涂料、染料、油墨、化妝品等,分散及分散穩定性直接影響著產品的質量和性能;在材料科學領域,某種元素(物質)在材料機體中的分散程度決定了材料的性能和質量。研究表明,材料的損壞斷裂和腐蝕等主要是發生在材料的不均勻處及缺陷處。組成材料的不同組分的分散程度越高,材料的性能越好。總之,在許多領域,分散已成為提高產品質量和性能以及提高工藝效率不可或缺的技術手段。
一、顆粒在液相中分散過程
超細粉體的分散介質通常為氣體和液體。而本文只對超細粉體在液體中的分散進行論述。顆粒分散過程分為四個階段:1、摻合,2、浸潤,3、顆粒群(團粒和團塊)的解體,4、已分散顆粒的絮凝。事實上粉體在液體中的分散過程本質上受兩種基本作用的支配:液體對粉體顆粒的影響,即粉體顆粒與液體的作用——浸濕;液體中粉體顆粒之間的相互作用。粉體顆粒在液體中分散機理也就是浸濕和在液體中粉體顆粒之間的相互作用。下面來討論粉體顆粒在液體中的分散過程。
1、浸濕
粉體顆粒被液體浸濕的過程實際上就是液體和氣體之間爭奪粉體表面的過程。這關鍵取決于粉體表面與液體的極性差異。粉體顆粒被液體浸濕的過程主要是顆粒表面的潤濕性。浸濕性能通常用潤濕接觸角θ來度量。潤濕接觸角θ的表達式如下所示:

具有完全潤濕性的顆粒,它們沒有接觸角,很易被液體浸濕。不完全潤濕粉體(0<90。),它們能否被液體浸濕取決于顆粒的密度及粒度,密度及粒度足夠大,顆粒將被浸濕到液體中。流體動力學條件對粉體的浸濕也有重要的作用,提高液體湍流強度可降低粉體的浸濕粒度。從潤濕熱的角度來分析浸濕的過程,當清潔的固體表面被液體潤濕時,通常會放出熱量,這種熱稱為潤濕熱。潤濕過程其實就是固/氣界面的消失和固/液界面的形成,因此潤濕熱可以下述公式表示:
潤濕熱描述了液體對固體的潤濕程度,如果潤濕熱越大,說明固體在液體中潤濕程度越好,反之則越差。
2、固體在液體中粉體顆粒在液體中的團聚狀態
粉體顆粒被浸濕后,在液體中所發生的主要是粉體顆粒的分散和聚團的動態可逆過程,即分散?聚團的循環運動。而在分散體系中可逆過程的反應方向主要取決于:粉體顆粒間的相互作用以及顆粒所處的流體動力學狀態和物理場。粉體顆粒間的相互作用力主要包括:分子作用力、雙電層靜電力、結構力以及因吸附高分子而產生的空間效應力。
3、顆粒分散體系的分類
分散系是指一種物質在另一種物質里被分散成微小粒子的體系。分散體系包括分散相和分散介質。被分散的物質稱為分散相,而另一種物質叫分散介質。根據不同的依據,分散體系的分類也不盡相同。分散體系按聚集狀態分類表:
二、顆粒在液相中的常見分散技術
通過超細顆粒在液相中分散過程的分析得出增強超細顆粒的分散手段,即選擇合適的溶劑或溶液提高粉體的潤濕熱,使潤濕自發進行;設計高效的分散機械使得分散有效體積和能量利用率得以提高;選擇合適的分散劑,使破碎后原生粒子十分穩定,阻止再團聚。顆粒分散按分散作用目的可分為預先分散和裂解團聚分散。從分散方式來分可分為物理分散和學分散。物理分散有機械分散、超聲分散、電磁分散和撞擊流法等。而化學分散則是利用分散劑不同的分散機理來達到對顆粒的分散。
1、物理分散
A、機械分散
B、超聲分散
C、電磁分散
D、撞擊流法
2、化學分散
A、分散劑
B、分散劑的選擇
根據以上對各種分散劑機理的分析,結合DLVO理論、空間位阻理論和空缺穩定理論,選擇分散劑應把握以下兩個原則:
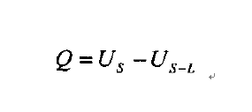
1)能增加位壘Umax的高度,即提高粒子的表面電荷量,從而提高粒子的靜電排斥作用,以達到粒子分散穩定性的目的。
2)粒子吸附分散劑后,吸附層在粒子周圍起到一個屏障作用,防止顆粒相互接近,即利用吸附層的空間位阻作用來達到分散體系穩定的目的。
研究表明化學分散對超細粉體的分散起到至關重要的作用,物理分散和化學分散有機地結合可以獲得zui佳的分散效果。
相關產品
更多
相關文章
更多
技術文章
2025-04-07技術文章
2025-03-07技術文章
2025-02-18技術文章
2025-02-06
虛擬號將在 秒后失效
使用微信掃碼撥號