
東南科儀
高級會員
已認證

東南科儀
高級會員
已認證
前言
氮化鋯陶瓷具有高熔點、高硬度、好的化學穩定性和電學性能,在硬質涂層、耐極端工況材料、核燃料惰性基質以及擴散障等方面受到了廣泛應用。
溶膠凝膠法是制備氮化鋯陶瓷材料的重要方法,它是由溶液中金屬離子經水解縮聚逐漸凝膠化,再經煅燒形成氧化物前驅體,最后通過適當的熱處理來得到目標化合物的方法。
內凝膠法是溶膠凝膠方法中的一種,指溶膠內部含有固化所需的膠凝助劑,如六次甲基四胺,其在受熱后發生水解可使前驅體pH上升從而促進凝膠固化發生。內凝膠法是制備氧化物和非氧化物陶瓷材料常用的工藝方法。在制備過程中,TGA/DSC測試是熱處理和燒結工藝之前必須進行的工作,它具有以下三個方面的重要作用:
(1)凝膠狀態微球的內部存在較多有機物,通過TGA/DSC測試能夠初步判斷出凝膠內部存在有機物的熱行為;
(2)TGA/DSC的分析結果能夠對熱處理燒結工藝的制定起到參考借鑒作用,明確劇烈反應的溫度范圍,從而制定合理的燒結溫度;
(3)將添加不同碳源的樣品在相同條件下進行TGA/DSC測試,能夠對比其在熱行為上的信息差別。
梅特勒托利多 同步熱分析儀 TGA/DSC 3+
制樣過程
內凝膠工藝采用的原料包括硝酸氧鋯、六次甲基四胺、尿素,碳源選取炭黑或果糖。首先,配制硝酸氧鋯的水溶液(溶液I)以及包含六次甲基四胺和尿素的水溶液(溶液II)。隨后添加碳源,當碳源選用炭黑時,則將適量炭黑粉末加入到溶液II中,通過超聲實現炭黑在其中的均勻分散;當碳源選用果糖時,則將適量果糖溶解于溶液I中,通過攪拌實現果糖的完全溶解。加入碳源后,在攪拌條件下將溶液II逐滴加入到溶液I中,混合溶液的pH在這一過程中逐漸升高,形成凝膠三維網絡結構。最后將其在60℃干燥后研磨成凝膠粉末,用于熱分析測試,凝膠粉末樣品形貌如圖1所示。
圖1.(a)含炭黑的凝膠粉末樣品、
(b)含果糖的凝膠粉末樣品
含炭黑和含果糖的凝膠粉末熱分析過程采用熱重/差示掃描量熱儀(TGA/DSC 3+, Mettler Toledo)進行,它的升溫能夠達到最高1600℃,對于陶瓷材料的制備過程研究非常適用。實驗過程中,首先稱取適量凝膠粉末樣品置于陶瓷坩堝中,然后以10℃/min的速率升溫至1500℃進行分析,實驗過程選用氮氣氣氛。
結果討論
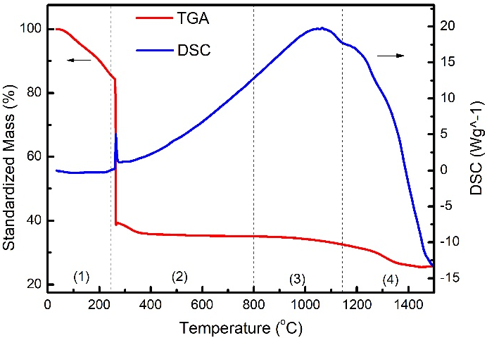
在以炭黑和果糖作為碳源時,相應凝膠干燥粉末獲得的TGA/DSC曲線分別如圖2和圖3所示。首先,根據TGA曲線的變化,兩種凝膠粉末的熱行為均可分為4個階段,分別對應著吸附水的去除、殘余有機物分解和碳化、氧化鋯晶型轉變、以及碳熱氮化反應的發生。由于碳源組分的差別,兩種凝膠粉末在每個階段的起止溫度和反應劇烈程度不同。
在圖2以炭黑為碳源的凝膠粉末獲得的結果中,由室溫到240℃,TGA曲線上失重15%對應的是凝膠中吸附水的去除,這里包括物理吸附水和化學吸附水。從240℃到800℃,TGA曲線上對應48%的失重是由于凝膠中參與的有機物分解與碳化,殘余的有機物包括六次甲基四胺、尿素以及在膠凝化過程中形成的脲醛樹脂。DCS曲線在263℃附近出現明顯的放熱峰,對應了殘余有機物分解碳化最劇烈的階段。第3個階段從800℃到1140℃,在DSC曲線上1050℃出現的放熱峰,對應的時氧化鋯的晶型轉變過程。在1140℃到1500℃之間,TGA曲線上表現為失重7%、DSC曲線于1200℃的放熱峰,對應的是碳熱氮化反應的發生。
圖2.含炭黑凝膠粉末在N2下的TGA/DSC曲線
圖3.含果糖凝膠粉末在N2下的TGA/DSC曲線
在圖3中,以果糖為碳源的凝膠粉末的熱行為中,其四個階段分別對應的溫度范圍為:室溫~210℃、210℃~730℃、730℃~1200℃和1200℃~1500℃,凝膠粉末的相對失重分別為17%、38%、6%和9%,碳熱氮化反應對應的主要失重以及放熱峰位于1300℃附近。
對比圖2和圖3可知,在以果糖為碳源的圖3中,其在第二個階段的失重過程相對緩和,反應的劇烈程度較以炭黑為碳源的圖1中凝膠要低。在以果糖為碳源時,這一過程還包括了果糖的分解與碳化,有機碳源果糖在溫度升高時首先通過碳化轉變為無定形碳,隨后在高溫時參與碳熱氮化反應的進行。此外,相比于含有果糖的凝膠粉末,以炭黑為碳源時碳熱氮化反應的起始溫度相對更低。具體地,以炭黑和果糖為碳源時,碳熱氮化反應的峰溫分別為1200℃和1300℃。
結論
通過TGA/DSC分析明確了凝膠粉末在加熱過程中的熱行為變化過程,包括其中有機物分解的溫度范圍、碳熱氮化反應的發生、凝膠的總失重、以及不同碳源加入對凝膠熱行為的影響等具體信息。從而根據熱分析制定熱處理溫度,在有機物分解反應較為劇烈的溫度范圍內,采取較為緩慢的升溫速率,從而保證凝膠中殘余有機物的充分去除,當以果糖為碳源時同時保證果糖的有效分解和均勻碳化;確定合理的碳熱氮化溫度,當以炭黑和果糖作為碳源時最高碳熱氮化溫度分別設置為1400℃和1450℃。根據圖4和圖5所示的X射線衍射圖譜可知,熱處理后所得產物為單相氮化鋯粉體。
圖4. 以炭黑作碳源時所得產物的XRD圖譜及形貌
圖5. 以果糖作碳源時所得產物的XRD圖譜及形貌
相關產品
更多
相關文章
更多
技術文章
2025-10-24技術文章
2025-10-22技術文章
2025-10-22技術文章
2025-10-20
虛擬號將在 秒后失效
使用微信掃碼撥號