
復納科學儀器(上海)有限公司
金牌會員
已認證

復納科學儀器(上海)有限公司
金牌會員
已認證

德國弗萊堡大學課題組利用Forge Nano Prometheus 流化床原子層沉積系統進行商用燃料電池 Pt/C 催化劑的制備
作者:德國弗萊堡大學 Fiona Pescher, Julian Stiegeler, Philipp A. Heizmann, Carolin Klose, Severin Vierrath, 和 Matthias Breitwieser
文章:Pt/C catalysts synthesized in a commercial particle atomic layer deposition system enabling improved durability in fuel cells
01研究背景
質子交換膜(PEM)燃料電池因其高能量轉換效率和低排放特性,被認為是未來能源轉換技術的關鍵。在這些電池中,鉑(Pt)基催化劑因其高活性而被廣泛用于氧還原反應。然而,Pt 催化劑在運行過程中會受到多種降解機制的影響,如奧斯瓦爾德熟化和碳腐蝕,從而導致催化劑性能下降。因此,開發高穩定性和高質量活性的 Pt 基催化劑是實現 PEM 燃料電池商業化的關鍵挑戰之一。
02摘要
本研究旨在利用商業化、可擴展的粉末 ALD 系統合成用于燃料電池的 Pt/C 電催化,以提高燃料電池的耐久性和性能。
通過透射電子顯微鏡(TEM)和 X 射線衍射分析,研究者們發現所合成的 Pt/C 催化劑具有高度分散的鉑納米粒子,粒徑分布狹窄(對于 30 wt% Pt 的催化劑,粒子平均尺寸為 2.2 ± 0.5 nm;而對于 40 wt% Pt 的催化劑,平均尺寸為 2.6 ± 0.6 nm)。
在模擬應用條件下的性能測試中,ALD 合成的催化劑與最先進的催化劑(TEC10V50E)展現出相似的初始性能。經過 30,000 次電壓循環后,ALD 催化劑顯示出比參照催化劑高出 64% 的電化學活性表面積和更優越的電池性能保持率。與商業參考材料相比,電池性能保持出色,0.65 V 下的電流密度提高了 34%。鑒于商業粉體 ALD 系統的規模化生產可能,將有助于使用粉體 ALD 作為工業中燃料電池催化劑材料的新型合成方法。
03實驗部分
01 電催化劑合成
研究者們首先對碳材料進行了氧化處理,以增強其表面功能化。傳統的 ALD 方法側重于涂覆平坦表面,但專用的粉體 ALD 反應器已經可以在大批量粉末材料上實現均勻的涂層,該研究中使用商業化的 Forge Nano Prometheus 流化床 ALD 系統在功能化的碳黑顆粒上沉積 Pt 納米粒子。

(a) Forge Nano 的 Prometheus 流化床 ALD系統;(b) Pt-ALD 過程中各個步驟的示意圖。
通過調整 ALD 循環次數(15,30,40 cycle),可以在碳載體上實現不同鉑含量的負載,同時保持鉑納米粒子的高度分散和狹窄的粒徑分布。

(a) 用不同 ALD 循環次數合成的不同催化劑的 Pt 粒徑分布。通過評估相應的 2D TEM 顯微照片獲得直方圖。(b) 平均 Pt 納米顆粒直徑與所應用的 ALD 循環次數的關系
通過優化 ALD 過程的溫度和循環次數,研究者們成功合成了具有高度分散鉑納米粒子的 Pt/C 催化劑。

在不同氧劑量溫度下合成的 ALD Pt/Cs 的明場 TEM 顯微照片:(a) ALD-Pt/C-300 °C,(b) ALD-Pt/C-200 °C,(c) ) ALD-Pt/C-150 °C。黃色箭頭表示存在 Pt 聚集體。(c) 150 °C 的工藝溫度被選擇用于所有進一步的 ALD 和燃料電池實驗。
02 催化劑性能評估
研究者們對比了 ALD 合成的催化劑與商業 Pt/C 催化劑(TEC10V50E)在燃料電池中的性能。通過加速應力測試(AST),評估了催化劑的穩定性,重點關注鉑的降解。測試結果顯示,ALD 催化劑在經過 30,000次 循環后,保持了更高的電流密度和電化學活性表面積(ECSA),顯示出比參照催化劑更優越的耐久性。

三種電催化劑的電化學表征:(a)在80℃、50%RH和 130kPa 背壓下在 H2/ 空氣中的極化曲線,(b)在0.65V下取得的電流密度,(c)在 80℃、50%RH 和 130kPa 背壓下取得的電流密度在 0.5V 下,以及(d)根據在H2 /N2、80℃、100% RH 和環境壓力下測量的循環伏安圖確定 ECSA
ALD 催化劑和商用 Pt/C 在活化性能、歐姆和傳質區域表現出同等水平的初始燃料電池性能。經過 30,000 次 AST 循環后,可以觀察到參考催化劑和 ALD 催化劑之間性能衰減的明顯差異:在 0.65 V 電壓下,商業催化劑的電池僅保留其初始電流密度的 38%,而 ALD 催化劑保留了較高比例的初始電流密度(ALD-Pt30/C:51% 和 ALD-Pt40/C:46%)。在電池電壓為 0.5 V 時,這種有益效果變得更加明顯:兩種采用 ALD 催化劑的電池都保留了超過 80% 的電流密度,而商業參考電池與 BOT 相比保留了約 66%。
使用循環伏安法測定每種催化劑的 ECSA(電化學活性表面積)。在電池測試開始時,與含 40 wt% 鉑的催化劑相比,ALD-Pt30/C 催化劑表現出更高的 ECSA。 在整個測試期間,與商業催化劑相比,ALD 制備的催化劑始終表現更優異,高出 40% 至 80% 的 ECSA 和 20% 至 50% 的質量活性。

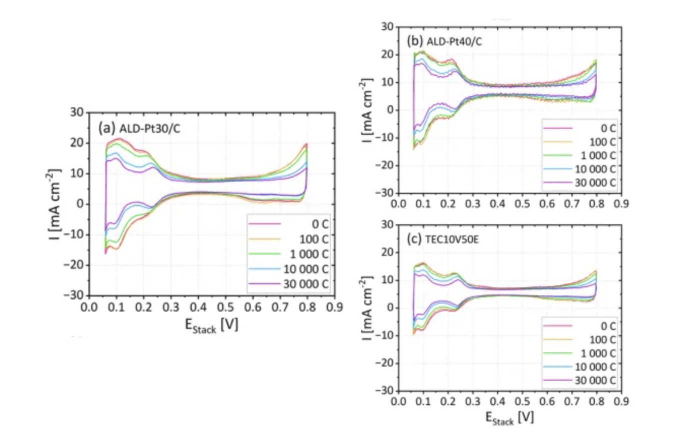
在 BOT 處測得的 (a) ALD-Pt30/C、(b) ALD-Pt40/C 和 (c) TEC10V50E 在 100、1000、10,000和 30,000 個循環后的 CV。
04結果與討論
ALD 催化劑在燃料電池測試中展現出與商業催化劑相當的性能,并在耐久性測試中表現出更優異的穩定性和 ECSA 保持率。

這些結果歸因于 ALD 過程中實現的優化的鉑粒子尺寸分布和在碳載體上的均勻分散。
研究者們認為,ALD 催化劑的優越性能可以歸因于以下幾點:
高度分散的鉑納米粒子:ALD 過程中生成的鉑納米粒子在碳載體上高度分散,沒有形成較大的團聚體,這有助于提高電化學活性表面積(ECSA)。
狹窄的粒徑分布:鉑納米粒子的粒徑分布狹窄,有助于提高催化劑的熱穩定性,減緩 Ostwald 熟化過程。
優化的 ALD 過程:通過調整 ALD 循環次數和反應溫度,可以精確控制鉑含量和粒徑,從而獲得具有優異耐久性的催化劑。
05結論
本研究表明,商業化的粉末 ALD 系統可以用于合成高性能的 Pt/C 燃料電池催化劑。通過調整 ALD 循環條件,可以精確控制碳載體上的鉑含量和粒徑,從而獲得具有優異耐久性的催化劑。未來的研究將關注將這種方法擴展到其他碳載體材料,并進行規模化實驗,以驗證催化劑的均勻性,為 ALD 技術在更大規模的催化劑制造中鋪平道路。
06未來展望
未來的研究將關注將這種方法擴展到其他碳載體材料,并進行規模化實驗,以驗證催化劑的均勻性,為 ALD 技術在更大規模的催化劑制造中鋪平道路。此外,研究者們還計劃探索將 ALD 技術應用于其他類型的催化劑,以進一步提高燃料電池的性能和耐久性。
這篇文獻的研究為燃料電池催化劑的合成提供了一種新的、高效的途徑,展示了 ALD 技術在納米材料合成領域的潛力。通過精確控制催化劑的納米結構,研究者們能夠顯著提高催化劑的性能,這對于燃料電池技術的發展具有重要意義。
相關產品
更多
相關文章
更多
技術文章
2025-10-24技術文章
2025-10-22技術文章
2025-10-21技術文章
2025-09-24
虛擬號將在 秒后失效
使用微信掃碼撥號