
步琦實驗室設備貿易(上海)有限公司
白金會員
已認證

步琦實驗室設備貿易(上海)有限公司
白金會員
已認證

不同類型化合物應用的最佳條件
現如今,Flash 及 Prep HPLC 色譜已經成為許多分離應用的首選方式。就像我這種“廚房殺手”,黑暗料理界殿堂級人物,在做飯時,如果鹽放多了都會不禁在想:是不是可以通過色譜分離的方式去除多余的鹽?
然而,盡管這些分離技術是化學的基礎,但它們仍然難以捉摸,因為沒有通用的一種方法可以適用于所有的樣品。不同行業研究或感興趣的化合物是多樣性的,這些化合物理化性質差異性很大。幸運的是,前人們已經通過多年的經驗總結出了對不同分子類型化合物最有效的純化條件。所以,如果您在進行樣品分離時,對流動相或固定相以及檢測器的選擇感到迷茫時。或許本篇文章會對您有些許的啟發。
第一階段是流動相:樣品一定要可溶于待選溶劑;其次是固定相:對您的樣品要有保留。有兩種色譜類型適用于這里:正相(NP)色譜和反相(RP)色譜。這兩大色譜類型也是很多小伙伴在日常科研當中用到最廣泛的。接下來是需要確定樣品溶解度,判斷是否可以液體進樣?如果不可以,可以考慮固體上樣的方式(Flash色譜)。最后一步是檢測,包括需要了解樣品是否具有紫外吸收,這將決定哪種檢測方法對特定化合物最有效,之前“小步”同學也有給大家分享過關于檢測器的選擇,沒有看過的同學可以點擊這里,為了幫助快速進行 Flash 和 Prep HPLC 應用的開發,“小步”同學給出一些化合物類型適用的最佳條件。
蛋白質和多肽
蛋白質由氨基酸組成,在溶液中形成與它們的生物功能密切相關的高度有組織三維結構。多肽則是蛋白質的小版本,通常由含有 2-50 個氨基酸組成。

就流動相而言,它們大多溶于水。反相(RP)色譜法適用于多肽或更小、更穩定的蛋白質,它們在純化后會重新折疊。這需要含有較少極性溶劑的水混合物,如乙腈、異丙醇或乙醇。乙腈是最受歡迎的溶劑,因為它易揮發,很容易從收集的餾分中去除,除此之外,它還具有低粘度和低紫外線吸收等特點。對于多肽的分離,傳統的三氟乙酸(TFA)被添加到流動相來進行pH控制(緩沖)和離子配對(與相反帶電的離子團形成復合物以增強保留)。
固定相是根據樣品的分子量和極性進行選擇。Prep HPLC 色譜法由于其可以搭配更小粒徑尺寸色譜柱(柱效更高),所以成為分離極性相近或相似或化合物的首選純化方法。對于 Prep HPLC 來講,樣品進樣方式必須為液體進樣。所以對于疏水性樣品,使用低級性溶劑(乙腈),親水性樣品使用乙醇或丙醇最佳。對于高度親水的樣品,可以適當的加入微量二甲基亞砜(DMSO)或二甲基甲酰胺(DMF)提高整體溶解能力,這使得樣品可在最小溶劑體積內溶解,最大化減小溶劑擴散現象。如果需要使用固體上樣,則更適用于 Flash 色譜。
紫外檢測器通常作為檢測蛋白質或多肽最常用的方式,檢測波長一般設為 280nm。這一波長已被證明特別有用,因為可以直接從蛋白質序列當中預測 280nm 處的摩爾吸收系數(消光系數),當然,這只適用于含有色氨酸或酪氨酸殘基的蛋白質。如果芳香族氨基酸含量低或沒有芳香族氨基酸,則推薦使用 205nm 作為檢測波長。
天然產物/提取物
活的有機體,如植物、微生物或動物,通過初級或次級代謝途徑產生這些代謝產物。初級代謝產物是生物體生長所必需的,次級代謝產物是初級代謝產物的最終產物。

流動相的選擇基于提取時所使用的溶劑類型,如果采用正相色譜(NP)純化,則使用正己烷,石油醚,二氯甲烷(DCM),乙酸乙酯(EtAc),或其他與水不互溶的溶劑;反相色譜(RP)則采用乙醇和水進行提取,分離純化流動相一般為甲醇/水或乙腈/水。對于固定相來說,所有的 NP(硅膠,二醇基,氨基等)和 RP(C18 等)均可被使用。
天然產物的樣品成分通常非常復雜,所以往往需要采用組合分離技術:通過 Flash 色譜進行前期預處理粗分,再經過 Prep 色譜對樣品進行單體化合物分離。
樣品的載樣量取決于天然產物提取物的體積,通常來講提取物量都比較大。樣品可以通過注射器或注射泵的方式注入到 Flash 色譜柱中,如果樣品體積過大,則建議采取固體上樣的方式,因為如果溶劑體積過大會導致色譜峰譜帶變寬,進而影響分辨率。Flash 色譜預分離的樣品后續可以在 Prep 上進一步純化。
天然產物樣品的多樣性和未知性決定了其被檢測的方法。通常來講,蒸發光散射檢測器(ELSD)與紫外檢測器(UV)的組合可以最大化保證樣品檢測的全面性。對于 NP 色譜,建議使用二極管陣列檢測器(DAD)來對樣品進行檢測。
碳水化合物
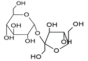
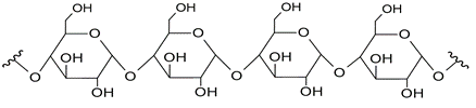
碳水化合物可分為低分子量(單糖和雙糖)和更復雜的重碳水化合物(寡糖和多糖)。

單糖(葡萄糖)

二糖(蔗糖)

多糖(直鏈淀粉)
碳水化合物都是親水性的,流動相一般選擇水/甲醇或水/乙腈進行搭配作為洗脫劑。在 RP 條件下,使用 C18 填料作為固定相可以降低高極性碳水化合物的保留。相反,氨基柱已經被證明是最適合作為分離碳水化合物的固定相。因為它不像 C18 那么非極性。
上樣方式方面,碳水化合物在 RP 條件下通常是可溶的,所以一般采用液體進樣的方式進行上樣。
碳水化合物和脂類一樣,缺乏發色團;目前,ELSD 是主要的檢測方法。傳統上使用示差折光檢測器(RI),低波長 UV (190-205 nm),并通過薄層色譜進行純化后分析。
小分子藥物
這些化合物被定義為有機化合物,通常通過有機合成的方式獲得。具有基本化學結構的小分子,分子量一般在 0.1-1kDA 之間。
Flash 和 Prep HPLC 通常都可以在 NP 和 RP 條件下條件。小分子藥物的目標通常是使用 RP,因為對它們來說水溶性是至關重要的。NP 只能在 RP 不可能的情況下使用或后續通過結構修飾等方式使其能具有更高的成藥性。
下表為正相色譜(NP)與反相色譜(RP)的對比:

上樣方式由樣品的極性和純化方式有關,高壓不銹鋼柱和 Flash 色譜柱可以液體和固體上樣(只能 Flash 色譜使用)。液體注射進樣是首選的方式,但是如果樣品在方法的起始流動相梯度時溶解性不好,則需要采取固體上樣。
檢測器方面,紫外檢測器依然是首選,因為大多數的小分子藥物都具有紫外吸收。然而,在某些情況下,如果化合物紫外吸收較弱,那么 NP 色譜所使用的有機溶劑會給其吸收帶來干擾,進而影響實驗人員對樣品分離效果的判斷。其他樣品可能會是半揮發性的。基于此,在室溫條件下使用 ELSD 檢測器是最適的,因為高溫條件下有機試劑的揮發順帶將化合物帶走的情況時有發生,這會導致樣品檢測靈敏度降低。
維生素/脂質
由于維生素/脂質的性質多樣性,以及篇幅原因。我們后續會專門出一期關于它們的文章,有相關研究的小伙伴可以持續關注哦。
好了,現在您應該知道了不同類型化合物需要使用哪些色譜類型應用方法了吧。希望這篇文章能對您接下來的實驗有所幫助!
我是“小步”同學,我們下期再見!
最新動態
更多
手機版:
虛擬號將在 秒后失效
使用微信掃碼撥號