
步琦實驗室設備貿易(上海)有限公司

已認證
步琦實驗室設備貿易(上海)有限公司
已認證
步琦SFC系統
純化利多卡因與乙酰氨基酚
SFC應用
1
簡介
藥物是一種由化學或生物來源制成的產品,用于人類或動物的醫療治療,這些藥物往往以化學合成的形式來生產。化學合成是一種通常伴隨著雜質存在的過程,因為產率很少是 100%。這些雜質可能會對最終產品的療效、安全性和質量產生重大影響。因此,對藥物進行純化以確保合成化合物的純度和完整性是至關重要的,藥物的純化可以通過色譜法等多種方法進行。
最近,超臨界流體色譜(SFC)已經作為一種替代反相液相色譜(RP-HPLC)的方法出現。SFC 使用超臨界二氧化碳作為流動相的一部分,這是一種清潔且環保的溶劑,很容易從最終產品中去除。此外,SFC 結合了氣相色譜和液相色譜的優點,在提供高分辨率的同時也能以更快的速度分離樣品。
在 SFC 的方法開發過程中,最大的難點在于沒有一種通用的固定相。因此需要在不同的固定相上進行篩選,以確定要分離的樣品的最佳選擇性。CO2 的低極性溶劑特性允許在色譜柱篩選時同時考慮非極性和強極性的固定相。在確定最佳固定相后,就可以進一步放大到制備規格。
在本次應用中,我們會例舉利多卡因和乙酰氨基酚的合成案例,利用 SFC 系統來高效去除合成過程中的雜質,獲取高純度目標化合物。在這一過程中,需要先進行合適色譜柱的篩選,再放大至制備色譜的規格。
2
設備
BUCHI Sepmatix 8x SFC 8通道平行色譜系統
BUCHI Sepiatec SFC-50 超臨界制備色譜系統
BUCHI PrepPure 硅膠,5um,250×4.6mm
BUCHI PrepPure 二醇基,5um,250×4.6mm
BUCHI PrepPure 氨基,5um,250×4.6mm
BUCHI PrepPure 2-EP,5um,250×4.6mm
HILIC柱,5um,250×4.6mm (Dr. Maisch GmbH)
BUCHI PrepPure PEI,5um,250×4.6mm
BUCHI PrepPure CBD,5um,250×4.6mm
氰基柱,5um,250×10mm ,(Dr. Maisch GmbH)
BUCHI PrepPure PEI,5um,250×10mm
BUCHI PrepPure 氨基,5um,250×10mm
3
化學品與樣品
化學品:
二氧化碳 (99.9%)
甲醇 (≥99%)
甲醇溶液中2M的氨溶液
甲酸(99%)
去離子水
為了安全處理,請注意所有相應的MSDS!
樣品:
乙酰氨基酚合成產物
利多卡因合成產物
4
程序設定
BUCHI Sepmatix 8x SFC平行色譜系統
流動相:A= 二氧化碳;B= 甲醇
柱尺寸:250×4.6mm
流速:3mL/min(每根色譜柱)
檢測:DAD 紫外掃描 200 nm - 600 nm
流動相條件:
0?0.5min | 5%B |
0.5 – 8.0 min | 5 – 50 % B |
8.0 – 9.4 min | 50 % B |
9.4 – 9.5 min | 50 – 5 % B |
9.5 – 10 min | 5 % B |
篩選過程完全自動運行,流速設置為 3mL/min 每通道,使用流控單元,平衡每一根色譜柱。樣品自動注入(V = 5 μL),并開始平行篩選(運行時間 =10min)。背壓調節器設置為 150 bar,柱子加熱至 32℃,可按需往改性劑中加入添加劑改善峰型。
BUCHI Sepiatec SFC-50超臨界制備色譜系統
流動相:A= 二氧化碳;B= 甲醇
柱尺寸:250×10mm
流動相條件:等度運行條件
檢測:紫外
所有 10mm ID 色譜柱都在預設流速下平衡 3 分鐘,使用自動進樣器上樣,并開始運行。背壓調節器設置為 150 bar,柱子加熱至 40℃,可按需往改性劑中加入添加劑改善峰型。
5
結果
5.1 乙酰氨基酚
乙酰氨基酚(下稱 AA),也常被稱為對乙酰氨基酚,是一種鎮痛劑、解熱劑和手性藥物。它屬于非阿片類鎮痛劑這一類。在化學上,它可以通過對氨基苯酚(下稱 AP)與乙酸酐的反應來合成,在此過程中發生 N-乙酰化(見圖1)。為了確定乙酰氨基酚合成產物的最佳純化分離固定相,首先進行了柱篩選(見圖1)。
▲ 圖 1:頂部:乙酰氨基酚合成的反應方程式,底部:Sepmatix 8x SFC 儀器色譜柱篩選結果;從左到右:硅膠,氨基,二醇基,氰基,2-EP,HILIC,PEI和CBD;運行時間 = 10分鐘。
圖1顯示,二醇基和 2-EP 相并未表現出分離度,硅膠相、CBD 相、氰基相和氨基相未顯示出理想的分離度,因為它們無法實現基線分離。HILIC 和 PEI 相具有良好的選擇性和分辨率,且分辨率始終遠高于 1.5(見表1)。1.5 的分辨率意味著可以很好地分離 2 個峰。表1 還顯示了洗脫順序,氰基相顯示出相反的洗脫趨勢,對氨基苯酚先洗脫,然后是對乙酰氨基酚。篩選結果表明,反應并非百分之百完全,因為產物中仍含有大量對氨基苯酚。
▲ 表1:樣品在不同固定相色譜柱條件下的分辨率值和洗脫順序
選擇 PEI 相色譜柱放大至制備規格,因為它具有最高的分辨率(見圖2)。根據篩選時的色譜圖,我們可以確定 AA 和 AP 在甲醇為 35?40% 之間洗脫。圖2(頂部)顯示了在 40% 甲醇等度條件下,在 10 x 250mm 的PEI 色譜柱上對 AA 進行純化的情況,結果顯示 AA 和 AP 可以非常良好地分離。因此在相同的條件下,可以實施一個堆疊注射方法,用于自動純化并收集 AA (見圖2,底部)。
▲ 圖2:單次注射(頂部)和堆疊注射(底部)用于AA的純化;運行條件:流速=30 mL/min, 甲醇= 40 %,溫度 = 40 ℃,壓力BPR = 150 bar,注射 = 250 μL,UV波長 = 254 nm;堆疊注射條件:注射次數 = 10,堆疊時間 = 1.8 min,Fractions = 1(基于時間的)。
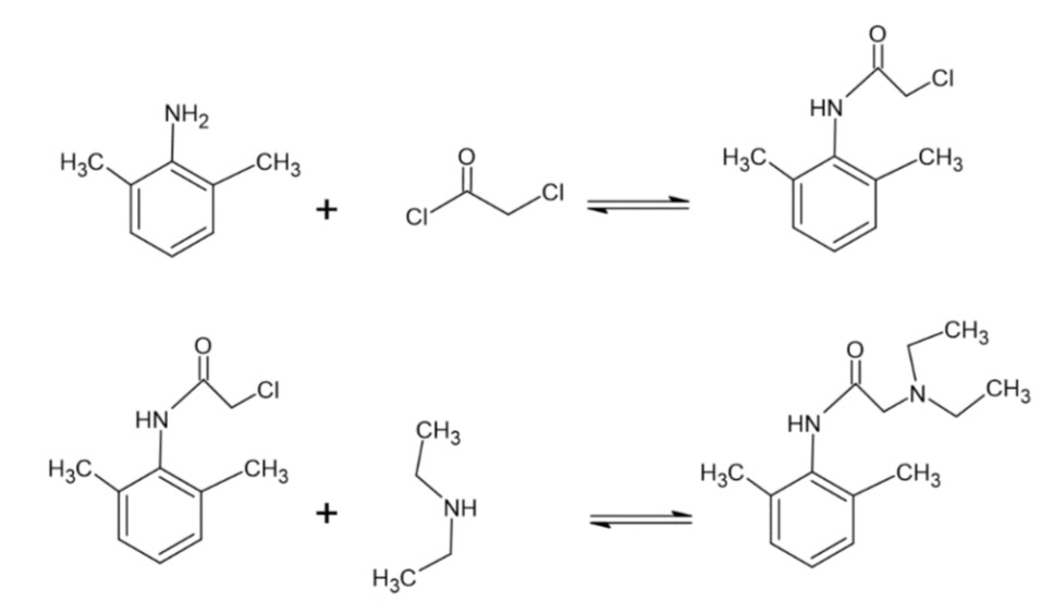
5.2 利多卡因
利多卡因(下稱 L),化學名為 2-二乙基氨基 -N-(2,6-二甲基苯)乙酰胺,是一種用作局部麻醉劑和抗心律失常藥物的藥物,它作為鈉通道阻斷劑起作用。利多卡因可以通過兩步合成過程生產(見圖3)。第一步中,2,6-二甲基苯胺(下稱 X)的氨基組團被酰化 。第二步中,中間產物(下稱 IP)通過與二甲胺的親核取代反應轉化為利多卡因。因此,需要進行兩步純化過程。色譜柱篩選的結果如圖3所示,篩選過程中,在改性劑甲醇中始終添加 20 毫摩爾氨水作為堿性添加劑。
▲ 圖 3:頂部:利多卡因合成的反應方程式,底部:Sepmatix 8x SFC 儀器色譜柱篩選IP與利多卡因結果;從左到右:硅膠,氨基,二醇基,氰基,2-EP,HILIC,PEI 和 CBD;運行時間 = 10分鐘。
從結果來看,所有色譜柱都可用于中間體 IP 的第一步純化分離,因為都具有基線分離的效果。其中氨基相具有最高的分辨率,且在甲醇比例較低時就能出峰(見圖3)。對于第二步利多卡因的純化,氰基和CBD相無法實現基線分離,而氨基再次表現出最佳的分離度(見表2)。在洗脫順序上,第一步中間體的純化出峰順序都是先 X 再 IP,而第二步的利多卡因的純化除了硅膠相之外都是先 L 再 IP(見表2)。
▲ 表2:樣品在不同固定相色譜柱條件下的分辨率值和洗脫順序
最終選擇 10 x 250mm 的氨基色譜柱進行制備純化,因為它的分辨率總是最高的(見表2)。氨基柱篩選結果顯示,X 和 IP 出峰時的甲醇比例約為 10 - 19%,L 和 IP 出峰時的甲醇比例約為 11 - 19%。圖 4 a) 顯示的是甲醇比例為 16% 等度條件下的 IP 的單次純化分離圖譜,圖 4 b) 顯示的是甲醇比例為 20% 等度條件下的 L 的單次純化分離圖譜。在相同的條件下,可以進行疊層進樣分離,分別自動純化 IP 和 L,并進行餾分收集(見圖 4 c) 和 d))。
▲ 圖4:中間體 IP 的單次進樣(a)和疊加進樣(c);運行條件:流速 = 20 mL/min,改性劑 = 甲醇 + 20 mM 氨水,改性劑 % = 16 %,溫度 = 40 °C,壓力 BPR = 150 bar,進樣量 = 170 μL,紫外波長 = 254 nm;疊加進樣條件:進樣次數 = 15,疊加時間 = 0. 75 min, Fractions = 1 (基于時間); 利多卡因L的單次進樣 (b) 和疊加進樣 (d) ; 運行條件:流速 =20 mL/min, 改性劑 = 甲醇 + 20 mM 氨水, 改性劑 % = 20 %, 溫度 = 40 °C 和壓力 BPR = 150 bar, 進樣 = 170 μL, 紫外波長 = 254 nm; 疊加進樣條件:進樣次數 = 20, 疊加時間 = 0.65 min, Fractions = 1 (基于時間)。
6
結論
在進行有機合成后,由于副反應或轉化率未達到 100%,通常仍會存在雜質,這些雜質必須去除,尤其是在藥品生產中。
在藥物合成研發領域,時間與效率至關重要。BUCHI 的 SFC 色譜解決方案為研發人員提供了強大的工具,通過 Sepmatix 8x SFC 色譜柱篩選系統與 Sepiatec SFC-50 制備色譜系統相結合,可快速篩選出合適的色譜柱并線性放大至制備規格。SFC-50 的疊層進樣功能,不僅能實現無人值守自動分離,還可顯著提高分離效率,從而加快藥物合成研發的速度。
7
參考文獻
Medikamente & Medizinprodukte (admin.ch) (Status 23.11.2023).
PRACTICAL APPLICATION OF SUPERCRITICAL FLUID CHROMATOGRAPHY FOR PHARMACEUTICAL RESEARCH AND DEVELOPMENT, Vol. 14, M. Hicks and P. Ferguson, 2022 Elsevier Inc.
Th. Eicher und H. J. Roth; Synthese, Gewinnung und Charakterisierung von Arzneistoffen, Georg Thieme Verlag, Stuttgart (1986).
The synthesis of Lidocaine (University of San Diego).
Winterfeld, K. – Praktikum der organisch-pr?parativen Pharmazeutischen Chemie, 6. Auflage, Steinkopff Verl., Darmstadt (1965).
Axel Kleemann, Jürgen Engel, Bernd Kutscher und Dietmar Reichert: Pharmaceutical Substances, 4. Auflage, Georg Thieme Verlag, Stuttgart (2000).
長按上方二維碼聯系我們
或撥打聯系電話:
400 - 880 - 8720
微信公眾號
步琦智慧實驗室
淘寶官方旗艦店
瑞士步琦
最新動態
更多
虛擬號將在 秒后失效
使用微信掃碼撥號