
蘇州浪聲科學儀器有限公司

已認證
蘇州浪聲科學儀器有限公司
已認證
一、簡介
茶葉作為中國的傳統飲品,不僅種植面積和茶類品種均居世界前列,還擁有廣闊且多元的消費市場,深受全球消費者的喜愛。然而,隨著全球貿易的加深和各國對食品安全標準的提高,茶葉中的重金屬含量問題逐漸受到關注。茶葉中的重金屬元素,如鉛(Pb)、銅(Cu)、汞(Hg)、鉻(Cr)、砷(As)、鎘(Cd)等,可能經由茶園土壤、水源、大氣以及茶葉加工等多種途徑被茶葉吸收,進而對人體健康造成潛在威脅。因此,對茶葉中的重金屬元素進行準確、快速的檢測顯得尤為重要。
二、茶葉中重金屬的標準
為保障消費者的健康,各國對茶葉中重金屬的含量都制定了嚴格的標準。其中,中國國家衛生和計劃生育委員會發布的《食品中重金屬標準》規定,茶葉中鉛的含量不得超過10mg/kg,汞的含量不得超過0.05mg/kg,銅的含量不得超過10mg/kg,鋅的含量不得超過50mg/kg。這些標準的制定旨在確保茶葉產品的安全性。
三、檢測方法
目前,茶葉中重金屬的檢測主要依靠儀器和分析技術,常用的檢測方法包括原子吸收光譜法(AAS)、電感耦合等離子體質譜法(ICP-MS)、電感耦合等離子體發射光譜法(ICP-OES)、全反射X射線熒光光譜法(TXRF)、分光光度法、電化學分析法等。其中,TXRF技術樣品制備過程簡便、無需校準、分析快速等特點,在這些方法中脫穎而出!
四、檢測案例
本次實驗使用TX3000便攜式全反射X射線熒光光譜儀,對某款茶葉進行微量元素分析。
測試結果K的含量為480 mg/L,鈣、錳、鐵、銅、鋅、銣元素的含量為幾十ppb至幾十ppm(mg/L),未檢出有害元素As、Pb、Cd。
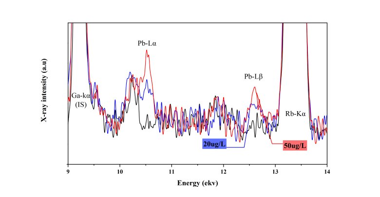
圖(2)和圖(3)分別顯示了在茶葉浸取液中加入鉛和鎘溶液的光譜圖,表明超低含量的Pb和Cd在TXRF的譜圖中也有很好的靈敏度和檢出效果。
圖(2)
圖(3)
四、結論
通過TX3000便攜式全反射X射線熒光光譜儀,可以實現對茶葉中重金屬元素的準確、快速檢測,為茶葉質量控制和食品安全監管提供技術支持。此外,TX3000還可以用于探討TXRF技術在茶葉產地溯源等方面的應用潛力,為茶葉產業的可持續發展貢獻力量。
相關產品
更多
相關文章
更多
技術文章
2025-09-17技術文章
2025-09-09技術文章
2025-09-08技術文章
2025-08-15虛擬號將在 秒后失效
使用微信掃碼撥號