
麥克默瑞提克(上海)儀器有限公司

已認證
麥克默瑞提克(上海)儀器有限公司
已認證
工業中氣體與固體兩相作用時的表現
在工業領域中,氣體與固體顆粒的相互作用呈現復雜多樣的特性。固體顆粒在常規堆積狀態下通常表現為松散結構,其整體行為不僅受固體顆粒自身性質的影響,還與顆粒間夾帶的液體以及填充于顆粒間隙中的氣體密切相關。氣體與顆粒之間的交互作用,以及氣體在顆粒間隙中的流動能力,對顆粒的相互滑動以及粉體整體的流動特性起著至關重要的作用。因此,深入研究氣流對粉體流動行為的影響機制,并開發有效的測量方法,對于眾多工業加工過程,如干燥、粉末噴涂、氣動傳輸、流化床操作以及粉霧劑霧化等,具有極為重要的現實意義。
從理論層面來看,粉體的內聚作用(Cohesion)是決定氣體在顆粒間隙流動以及氣體透過粉層能力的關鍵因素。在實踐測試過程中,需要選取合適的測試方法,以準確評估粉體對充氣流量的響應特性,從而深入探究顆粒間內聚力的大小及其對氣固兩相流行為的影響。
粉體流變儀的三類測試方法
FT4 粉體流變儀配備充氣控制單元(ACU),能夠精確調節氣流的流速,并實時檢測相應的壓降變化。儀器通過含細網結構的透氣底座,將氣流均勻地引入含有粉體樣品的容器中。基于此配置,可開展三類標準測試方法:流化測試,充氣測試和透氣性測試。這三種測試方法從不同角度全面表征氣體自下而上流經樣品時氣固兩相的相互作用特性,為深入理解粉體的流動行為提供了有力的技術支持。
流化測試:內聚力、拖拽力和重力的平衡關系
在流化測試過程中,通過逐步增加流經樣品的氣流流速,直至粉體完全達到流化狀態,隨后再逐步降低流速以實現脫氣(de-aeration)過程。對于每個特定的氣流速度,精確測量粉床上下兩端的壓力差(即壓降),以此量化顆粒所受到的向上拖拽力。
當氣流沿著垂直方向自下而上流動時,會在粉體床層內形成顯著的壓力梯度,導致粉床底部的壓力高于頂部(頂部為環境壓力)。這一壓降值實際上量化了氣流對顆粒的拖拽力,其計算方法為氣流流經粉床時所施加的向上拖拽力的總力除以氣流流經的橫截面積。
對于內聚作用相對較弱、能夠實現流化的粉體(如 Geldart A 組和 B 組粉體,具體分類可參考 ASTM D7743 標準*),氣相能夠在顆粒周圍實現較為均勻的流動。隨著氣流流速的逐漸增加,顆粒所受到的向上拖拽力也隨之增大,因此測量得到的壓降值呈現上升趨勢。當氣流流速達到某一臨界值時,顆粒所受的拖拽力足以克服顆粒自身的重力和內聚力:此時氣流能夠有效分離顆粒,并使粉床的高度顯著膨脹。對于所有超過這一臨界速度的氣流流速,總拖拽力與粉床的總重達到動態平衡,因為流體動力完全平衡了顆粒的重量。
在氣流流速與壓降的關系圖中,壓降的峰值清晰地標志著為打破顆粒間的內聚作用、實現顆粒分離時必須施加的額外拖拽力。一旦粉床發生膨脹,氣流向上流經粉床時遇到的阻力相應減小,因此粉床兩端的壓降會降低至粉床總重與橫截面積的比值。當通過流化粉床的氣流流速進一步增加時,盡管粉床可能繼續膨脹,但壓降將保持恒定。
在脫氣過程中,粉床兩端的壓降在初始階段也會保持恒定,隨著氣流流速的逐步降低,氣流作用不再能夠完全支撐粉床的總重,測量得到的壓降也逐漸降低。當氣流流速低于最小流化速度時,拖拽力小于顆粒單位重量,即氣流流速越慢,對顆粒的拖拽力越小,因此氣流支撐的粉床總重的比例也越低。
壓降曲線中的回滯環現象是因為氣流在分離顆粒、使得粉床膨脹時需要施加更大的力,而在粉床失去流化狀態并塌落時,支撐顆粒總重所需的力則更小,此時也不再需要克服顆粒間的內聚作用。比較不同材料之間的差異時,可以比較曲線中峰值的大小,更高的峰值表明顆粒間存在更強的內聚作用,也預示著流化時更粘性的流動行為。
充氣測試
充氣測試通過逐步遞增的流速將氣流引入粉床的底部,同時利用螺旋槳葉驅動粉體流動,精確測量槳葉自上而下通過粉體時感受到的流動阻力。在這一精確流動的流動模式下,累積所做的總功被稱為流動能。
隨著引入的氣流速度遞增,顆粒受到自重的影響逐漸減少,顆粒間的相互作用也隨之減弱,因此測得的流動阻力也相應減小。對于粘性非常弱的粉體,在均勻的流化狀態下,顆粒整體在容器內幾乎能夠自由移動,此時充氣后的流動能近乎降至零。
然而,有些粉體的粘性作用較強,難以實現均勻的流化,因此在粉床中形成了較大的空氣通道,并且很大一部分的顆粒并不能受到氣相的有效作用。這些停滯區域中的粉體將持續限制槳葉的攪動,因此對于粘性較大的粉體,未流化的部分越多,驅動這部分粉體流動所需的能量越大,從而形成了較高的充氣能平臺。
透氣性測試
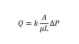
透氣性測試旨在精確測量流體(包括氣相)穿透材料整體的難易程度。當流體沿著壓力梯度流經粉床時,較大的流速會導致粉床產生較大的壓降。透氣性的定義依據達西定律,其數學表達式如下:
其中:
Q: 單位時間的氣相流量 (cm3/s)
k: 透氣性 (cm2)
A: 粉床橫截面積 (cm2)
ΔP = Pa – Pb = 粉床壓降 (Pa)
Μ: 氣相黏度 (Pa.s)
L: 流經粉床的距離 (cm)
由上式可知,在特定的氣流流速下,透氣性較差的粉體將產生較大的壓降。
粉體顆粒間隙的大小、顆粒的自組裝方式以及堆積效率等因素均對透氣性產生了顯著的影響。因此,透氣性測試不僅能夠研究粉體本身的透氣特性,還能夠深入探究所施加法向應力對粉體固結狀態的影響,從而為實際加工條件的優化提供重要的理論依據。
*ASTM D7743-12. Standard Test Method for Measuring the Minimum Fluidization Velocities of Free Flowing Powders. ASTM International.
相關產品
更多
相關文章
更多
技術文章
2025-08-13技術文章
2025-08-06技術文章
2025-07-09技術文章
2025-04-28