
元能科技(廈門)有限公司
金牌會員
已認證

元能科技(廈門)有限公司
金牌會員
已認證
隨著鋰電池逐步應用于生活的方方面面,人們對鋰電池的要求也越來越高,例如長的循環壽命以及高的能量密度等。為滿足這些需求,一方面需要不斷研發新材料,改進新工藝,從而提高材料的克容量;另一方面電池或電池包的容量也越做越大,以滿足新能源汽車或儲能電站的長續航需求。
我們知道,以不同的電流或倍率進行充電和放電是測試電池性能的最基本操作,且大部分的副反應也都可以從這些充電和放電曲線反饋出來。但是如果想獲得精細化的分析結果,提前條件是需要“高精度”的電流&電壓測試設備,以甄別微小的副反應。
我們這里所說的“高精度”一般指的是萬分之一以上的測試精度。而對于市面上常見的千分之一或萬分之五精度的測試設備而言,其本身的電流、電壓測試波動比較大,極易掩蓋掉新材料的克容量改善效果。此外,較大的測試波動也無法有效甄別電池循環前期微小的副反應,對電池長循環壽命的預測自然也不準確。因此,隨著人們對鋰電池性能的要求越來越高,未來對高精度充放電測試設備的需求也必定會越來越大。
接下來我們將從以下三個方面著重介紹一下高精度的充放電測試對鋰電池長循環壽命預測的意義。
01精準的庫倫效率(CE)測試——快速的壽命預測
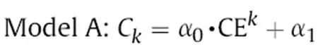
圖1(a)展示了常規的充放電曲線,庫倫效率(Coulombic Efficiency, CE)則可以由當次放電容量除以當次充電容量計算而來,即CE = QD(n)/QC(n)。在無任何副反應的理想情況下,CE = 1,即充電和放電完全可逆,電池壽命將無限長。但實際情況常常會因為各類副反應而不斷消耗掉電池內的活性鋰,造成不可逆的容量損失,即CE < 1。可見副反應的程度也直接決定了電池的壽命,因此我們可以借助高精度的測試設備精準評估CE大小,從而快速預測電池的循環壽命。圖2展示了使用一定循環次數的CE數據建立的電池壽命預測模型[1],新鮮電池的初始容量為C0,第k次循環的庫侖效率為CEK,考慮鋰的損失是每次循環的累積量,那么循環老化后的電池容量CK = C0 *(CE1 * CE2 * …… * CEK),即

其中,α0和α1是模型經驗參數,可通過一定數量的循環庫侖效率擬合得到。假設α0為電池的初始容量,且α0 = C0 = 100Ah,而α1 = 0。如果平均庫侖效率精度較低,數值為99.95%,當循環次數k = 500時,計算CK = 100Ah * 0.9995500 = 77.88Ah;如果平均庫侖效率精度較高,數值為99.955%,則CK = 100Ah * 0.99955500 = 79.85Ah。兩者相差1.97Ah,即模型精度相差1.97%。由此可見,庫侖效率精度非常關鍵。
在電池性能對比分析中,高精度庫侖效率也可以獲得更多信息。例如圖1(c)和(d)分別展示了使用三種不同電解液制備的電池的長循環容量對比以及循環前期的CE對比結果[2],從圖1(c)可以看出,(VC+VEC+FEC+PS)的電解液組合能夠有效延長電池的循環壽命至500圈左右,而另兩款電解液則只循環了150圈和300圈左右。
有趣的是,若我們觀察圖1(d)的CE對比結果,循環前期(16圈左右)三者的CE已有所不同,其中(VC+VEC+FEC+PS)電解液的CE能夠保持在0.999以上,而另兩款電解液的CE僅有0.998和0.9965左右。也就是說,如果電池CE的測試精度足夠高,我們便可以在循環前期提前分辨副反應的程度,從而快速地對電池的循環壽命做出預測,相比傳統機械式地一圈圈跑循環測定電池壽命,這種方式將極大縮短實驗時間,并提高電池的研發效率!
從圖1(d)的對比結果看,三種電解液的CE差值僅在0.003以內。圖1(b)展示了三種不同測試精度設備的CE測試結果對比,其中萬分之五精度的設備,其CE測試波動高達0.006,無法有效甄別圖1(c)中的三種電解液帶來的CE差異。相反,萬分之一或十萬分之五精度的測試設備,其CE測試波動均在0.001以內,因此可以有效區分不同電解液帶來的副反應,從而使科研人員能夠通過很短的循環測試(16圈左右)即可快速預測長循環后(500圈左右)的電池壽命。

圖1.(a) 鋰電池的充放電曲線;(b)展示了不同測試精度的設備對CE的測試結果對比;(c)和(d)分別展示了使用三種不同電解液制備的電池的長循環容量對比以及循環前期的CE對比結果。

圖2.電池庫侖效率CE及壽命預測模型[1]02
02電池內部副反應測定——材料&電解液&工況評估
接下來,我們再介紹下高精度電流&電壓測試的第二個意義:電池內部副反應測定與評估。在介紹詳細應用案例之前,我們需要引入兩個概念:ΔC (Charge Endpoint Slippage)或Ch.End.Cap.(%)。如圖3(a)所示,ΔC可以用后一圈的充電容量減去前一圈的充電容量計算所得,即ΔC = QC(n+1)-QD(n);而Ch.End.Cap.(%)則可以用第n圈的充電容量除以第一圈的充電容量計算所得,即Ch.End.Cap.(%) = QC(n)/QC(1)*100%。兩個參數雖然計算方式不同,但是所代表的意義確是相同的,均可用于表征電解液在正極側發生氧化反應的程度,而這個氧化反應會不斷消耗電解液,并將副反應產物沉積在負極材料表面,長此以往將會堵塞負極材料的間隙,并造成電池的容量跳水[2,3],具體的反應過程示意圖可以參考圖3(c)和(d)。而圖3(b)則展示了電池在多圈循環下充電末端的偏移,表明正極側在不斷地消耗電解液中的活性鋰,并逐步影響著電池的循環壽命。一般而言,工藝成熟的電池在穩定循環過程中,ΔC或Ch.End.Cap.(%)的數值都比較小,如果測試精度太低,就無法獲取準確有效的分析結果,因此我們需要高精度的測試設備進行電池副反應的詳盡分析。
圖3(e)也列舉了參數ΔC或Ch.End.Cap.(%)的四個方面應用:①不同電解液添加劑的篩選;②不同正極材料的篩選;③不同電位下氧化電量的測定;以及④相關材料機理的研究。而圖4(a-c)則展示了LCO電池在三種不同電解液下的循環壽命對比[4]。圖4(d)則提取了前16圈循環的Ch.End.Cap.(%)進行對比,發現添加1wt% 或2wt% VC的電解液,其Ch.End.Cap.(%)值較無VC添加的電解液要低很多,表明VC的添加可以減緩電解液在正極側的氧化速率,從而延長電池的循環壽命。而從圖4(e)展示的長循環結果中也可以看出,同樣循環110圈,無VC添加的電解液,其容量保持率已降至86%左右,而添加1wt% 或2wt% VC的電解液,其容量保持率仍在94%以上。

圖3.(a) 展示了ΔC的定義,即后一圈的充電容量減去前一圈的充電容量,公式可表示為ΔC = QC(n+1)-QD(n);(b)展示了電池在多圈循環下充電末端的偏移;(c)和(d)展示了電解液在正極側發生氧化反應,并將副反應產物沉積在負極材料表面的過程;(e)列舉了參數ΔC或Ch.End.Cap.(%)的四個方面應用。

圖4.(a-c)則展示了LCO電池在三種不同電解液下的循環壽命對比;(d)提取前16圈循環的Ch.End.Cap.(%)進行對比;(e)展示了三種電解液制備的電池的長循環壽命對比。
03電池容量衰減因子解析——電芯失效的精細化分析
高精度電流&電壓測試的第三個意義在于,當我們利用dQ/dV曲線(也稱電量增量曲線或IC曲線)或dV/dQ曲線(也稱電壓差分曲線或DV曲線)進行容量衰減因子解析時,高精度測試設備可以協助我們分析更為細小的相變峰,或者發現微弱的副反應,從而得到更為精細化的失效分析結果。
圖5(a)展示了LFP電池的dQ/dV曲線[5],該曲線包含的總面積即電池的總容量,而每個峰下的面積即對應參與該相變過程所發揮的電量。同時也可以看到,該dQ/dV曲線有三個明顯的峰,說明整個充電過程,存在3個明顯的相變,我們可以分別標記⑤*II、②*II和①*II峰。圖5(b)則展示了該電池對應的dV/dQ曲線,從中我們也可以很清晰地劃分出三個區域,而每個區域的寬度即分別對應電池在相應區間內的容量,我們分別標記為QA、QB和QC。可以看到,QA、QB和QC分別對應于dQ/dV曲線(如圖5(a)所示)中⑤*II、②*II和①*II這三個峰下的面積。通過細致分析dQ/dV或dV/dQ曲線各個峰的形狀、位置、面積等參數,我們可以從中解析出電池的容量衰減機理,例如活性材料損失、鋰損失等等。例如圖5(c)展示了不同循環后的dQ/dV曲線對比,其中⑤*Ⅱ和②*Ⅱ這兩個峰的形狀和面積基本沒有變化,表明電池活性材料在循環后并沒有明顯的損失;而①*Ⅱ峰的峰高有明顯的衰減,這主要是由于活性鋰損失導致的。此外,dQ/dV曲線各個峰的位置也均沒有發生明顯的變化,表明長循環后電池內阻的增加也不明顯。
圖5(d)則展示了萬分之一精度和萬分之五精度的測試設備在測試dQ/dV曲線時的差異對比,可以看到萬分之五精度測試設備獲得的dQ/dV曲線信噪比較大,其中某些小的相變峰被淹沒在了設備的測試波動內,使得研發人員無法從中獲得有效的分析結果。而萬分之一精度獲得的dQ/dV曲線則會光滑很多,且能夠很好地捕捉到細小的相變峰,從而有助于研發人員快速發現早期的副反應,并使電芯失效分析變得更為精細化!

圖5.(a)展示了LFP電池的dQ/dV曲線;(b)展示了LFP電池的dV/dQ曲線;(c)展示了不同循環后的dQ/dV曲線對比;(d)則展示了不同精度的測試設備獲得的dQ/dV曲線對比。
04電化學性能分析儀簡介
既然了解了萬分之一精度以上的“高精度”充放電測試的重要意義,那么我們該如何選擇這方面的測試設備呢?下面為大家著重介紹一下元能科技(廈門)有限公司自主研發的電化學性能分析儀(ECT & ERT系列,如圖6(a-b)所示),該設備配備有8個萬分之一精度的測試通道,以方便研發人員進行上述的失效分析與快速壽命預測,同時,該設備的ERT7008系列還集成了CV(循環伏安)和EIS(交流阻抗譜)等電化學模塊(如圖6(c)所示),可將CV或EIS測試工步同步編入循環測試工步內,便于客戶進行長循環的CV或EIS監測,解決了用戶來回切換測試設備或頻繁搬運電池的困擾!

圖6.元能科技自主研發的高精度電化學性能分析儀(ECT & ERT系列)的示意圖,以及軟件內CV & EIS功能的展示
【參考文獻】
[1] F.F. Yang, X.B. Song, G.Z. Dong and K.L. Tsui, A coulombic efficiency-based model for prognostics and health estimation of lithium-ion batteries. Energy 171 (2019) 1173-1182.
[2] J.C. Burns, A. Kassam, N.N. Sinha, L.E. Downie, L. Solnickova, B.W. Way and J.R. Dahn, Predicting and Extending the Lifetime of Li-Ion Batteries. Journal of The Electrochemical Society 160 (2013) A1451-A1456.
[3] D.Y.H. Wang, N.N. Sinha, R. Petibon, J.C. Burns and J.R. Dahn, A systematic study of well-known electrolyte additives in LiCoO2/graphite pouch cells. Journal of Power Sources 251 (2014) 311-318.
[4] J.C. Burns, N.N. Sinha, D.J. Coyle, G. Jain, C.M. VanElzen, W.M. Lamanna, A. Xiao, E. Scott, J.P. Gardner and J.R. Dahn, The Impact of Varying the Concentration of Vinylene Carbonate Electrolyte Additive in Wound Li-Ion Cells. Journal of The Electrochemical Society 159 (2012) A85-A90.
[5] X.B. Han,《車用鋰離子電池機理模型與狀態估計研究》, 2014.10.
相關產品
更多
相關文章
更多
技術文章
2025-10-21技術文章
2025-10-15技術文章
2025-09-17技術文章
2025-09-09
虛擬號將在 秒后失效
使用微信掃碼撥號