
元能科技(廈門)有限公司
金牌會員
已認證

元能科技(廈門)有限公司
金牌會員
已認證
析鋰現象
鋰離子電池在使用過程中發生析鋰是一種常見的異常現象。析鋰現象的直接原因是負極材料無法及時提供容納給游離的鋰離子空穴,或游離的鋰離子無法及時到達空穴導致鋰離子堆積,進而造成鋰離子發生還原反應生成鋰金屬。從大方向來分類的話,鋰離子電池析鋰原因分成五大類:(1)負極老化,儲鋰余量不足造成的析鋰;(2) 快充、過充以及低溫充電等情況造成的析鋰;(3)嵌鋰路徑異常造成的析鋰;(4)正、負極極片、隔膜等異常造成的析鋰;(5)特殊原因造成的固定位置析鋰。
析出的鋰形成鋰枝晶,具有非常強的還原活性和較大的比表面積,其持續生長會帶來許多危害。例如,(a)過度生長的鋰枝晶可能刺穿隔膜,導致正負極短路,甚至會引起鋰離子電池的起火和爆炸;(b) 鋰枝晶在放電過程中并不能完全可逆氧化,可能從根部斷裂,形成“死鋰”,導致電池內部活性鋰的損耗,降低庫倫效率,降低容量;(c)新生成的金屬鋰表面與電解質反應,生成新的SEI膜,同時消耗電解液,導致電池內阻增大,局部失去活性,降低容量。
基于上述原因,負極析鋰現象的成因及其邊界條件是鋰離子電池生產廠家和應用客戶非常關切的研究熱點。因此,析鋰現象的檢測和預防成為元能科技希望解決的問題。
檢測方案
檢測析鋰的方法可分為三種類型:
1.檢測負極電位VS Li/Li+,例如,使用參比電極或半電池。在某些工作條件下,特別是在低溫和/或高電流下充電時,鋰離子沉積在負極表面,而不是嵌入石墨晶格中。僅當負極電位低于0V時,才會發生這種情況。
2.由于析鋰對電池造成的衰減,通過多種電氣信號檢測。例如通過電化學阻抗法分析頻譜(內阻上升),差分電壓法分析電壓的異常、中子頻譜法分析元素的改變等等。
3.電池拆解后,對金屬鋰進行物理/化學分析。
方法(1)即測量半電池中的負極電位需要內置參比電極,這需要對電池結構進行大改變,而且參比電極可能會干擾電極過程,并對測量產生負面影響。方法(2)定期檢查電池性能下降,主要的參數是電池容量的衰減,與活性鋰的損失直接相關。但是,鋰沉積的很大一部分是可逆的,析出的鋰還可以通過隨后的化學插層到石墨晶格中,或者放電時再溶解來實現可逆。總之,這些方法很難平衡便捷度、實用性與經濟性。
元能科技提供了一種簡單快速判斷析鋰窗口的方法。設計了一款分辨率為0.1微米,可以精確測量電池循環過程中厚度變化的厚度膨脹儀。在給定的循環條件下,繪制電池在恒壓力或恒間隙充放電時的電池厚度-SOC曲線。在析鋰的情況下,可以清晰地觀察到電池厚度有異常的增加。電池厚度的變化可以作為無損析鋰檢測的指標,厚度指標與基于容量、阻抗、電壓等方法相比,有更高的靈敏度,并可以迅速地給出結果。
膨脹析鋰實驗
本實驗運用原位膨脹分析儀(SWE)對不同溫度下電芯發生析鋰的電位窗口進行定量評估,給研發人員制定不同溫度下的快速充電策略提供新方法。首先準備特定SOC的NCM軟包電池,測試電池的參數如圖1中表格(b)所示。

圖1. 設備和電池型號
設置電芯充電電流為0.5C,放電電流為1C,置于高低溫箱原位膨脹分析儀測試腔中,如圖1(a)。電池分別在25℃,15℃,10℃,0℃溫度下進行充放電,同步用原位膨脹分析儀實時監控電芯膨脹厚度變化曲線(5kg恒壓力模式)。
對軟包電芯分別在四種不同溫度下采用相同的倍率滿充,如圖2所示,25℃,15℃,10℃, 0℃四種狀態下最大厚度膨脹量分別為70.6μm,80.4μm ,80.1μm, 92.4μm,膨脹率分別為2.08%,2.35%,2.35%,2.71%。從圖2(a)可看出,0℃曲線與10℃、15℃、25℃曲線有明顯差異,特別是高SOC狀態下的膨脹厚度的斜率有差異,初步懷疑0℃電芯發生了析鋰。
進一步分析不同溫度的微分容量曲線,如圖2(b)所示。由圖可知:四個溫度對應的微分容量曲線的波峰位置與厚度膨脹速率變化突變是同步的,表明此電芯充電過程厚度變化是由于正負極材料有脫嵌鋰的相變造成。且隨著溫度的降低,相變峰在不斷向右移動,說明極化在不斷增加。對比不同溫度的厚度膨脹曲線,其中0℃對應的厚度曲線,斜率有突變的位置對應的厚度膨脹量明顯大于其他三個溫度,且對厚度膨脹曲線進行微分,如圖2(c)所示。由圖也可明顯看出,0℃的電芯的單位容量的膨脹厚度在充電容量大于30%SOC,電壓達到4.27V后,也比其他三組的稍大,這很可能是因為隨著測試溫度的降低,電芯極化增大,負極表面有析鋰,從而導致厚度膨脹的斜率較大。

圖(a)軟包電池在不同溫度下的充電容量-SOC-厚度曲線

(b)軟包電池在不同溫度下的微分容量-電壓-厚度曲線

(c)軟包電池在不同溫度下的微分厚度-SOC-厚度曲線
圖2. 電池析鋰膨脹曲線
枝晶生長分析
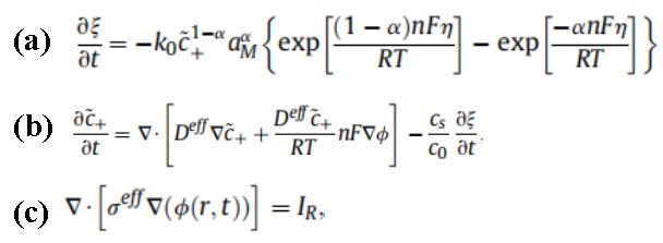
通過膨脹析鋰實驗,獲取了電池在不同溫度下循環的厚度變化數據,其中厚度容量微分曲線表明了析鋰對應的時間、容量和溫度窗口。然后,通過進一步的理論分析,嘗試計算出該種工況下具體的析鋰量。電池在不同溫度下的膨脹是一個復雜的多物理場耦合問題,涉及離子濃度場、電勢場、物態相場和溫度場。我們通過建立一個連續的的熱力學相場模型來理論分析枝晶形成的樣貌和條件。模型中,通常包含三個非線性方程:
(a)相場方程:鋰元素從離子態到金屬態的相變隨時間的變化與系統自由能的變化成正比。其中系統自由能可以包含電池化學反應生成的能量、材料彈塑性變化的能量、熱能等等。
(b)離子擴散方程:即菲克第二定律,固相鋰離子濃度隨時間的變化與顆粒內部沿著半徑方向的離子濃度梯度的關系。該方程的意義在于任意時刻固相離子濃度的濃度變化與其擴散系數和濃度梯度相關。
(c)電勢分布方程:對于靜電勢分布,假設系統中的電荷中性,認為電流密度由泊松方程守恒,包括一個源項來表示由于電化學反應而進入或離開的電荷。

將非線性方程組(a)(b)(c)輸入Comsol軟件中,可以計算特定溫度、倍率和電壓下的枝晶形貌。如圖3所示。

圖3. 鋰枝晶模擬結果
析鋰與石墨嵌鋰體積變化對比分析
石墨||三元電池中,正極體積變化很小(≤1%),而石墨滿嵌鋰狀態下體積變化為10%。因此,電池的體積變化主要由石墨負極決定。石墨材料的全部碳原子中,每六個碳原子可以儲存一個離子,因此可以儲存在石墨中的最大的鋰離子量是每六個碳原子中有一個鋰原子,可以儲存的最小鋰離子量為零。因此,當談到石墨電極的鋰化程度時,我們使用符號LixC6,其中0≤x≤1。顯然,從原子水平上看,對于任意的C6環,要么環中只插入一個鋰原子,要么沒有插入鋰原子。但是,當考慮整個電極時,只有部分C6環中會嵌入鋰離子,這個比例是x的值。當電池充電時,負極被高度鋰化,富鋰狀態下LixC6的x接近于1。當電池放電時,負極中鋰原子大量脫嵌,貧鋰狀態下,LixC6中x接近于0。
去溶劑化的鋰離子在石墨中的電化學插入反應發生在0~0.25V vs Li/Li+的電位范圍內。插層反應發生在明確的電壓平臺,在電壓平臺的開始和結束處也有明確的插層化合物。實驗表明,嵌鋰步驟是可測量的。六角形(ABABAB)和菱形(ABCABC)石墨結構在嵌鋰過程中分別轉化為一個帶有插入鋰的AAAAAA堆疊序列。鋰的位置位于兩個石墨烯層之間的C6環的中心。因此,石墨的容量取決于可用的石墨烯層的數量。如果使用結構非常良好的石墨(如天然石墨),在倍率充電情況下,幾乎可以完全充滿到372mAh/g的理論容量,圖4顯示了插鋰過程中的負極變化。

圖4. 石墨嵌鋰電勢曲線及示意圖
鋰離子插入負極晶格時可以填充自由間隙,因此,插層化合物的體積小于兩種單獨材料的體積加和。插層材料的厚度增加不會造成電池的顯著膨脹。但負極表面沉積的鋰金屬會顯著增加軟包電池的厚度。將1Ah的電荷從陰極轉移到陽極,鋰物質的量為37.31mmol。每六個碳原子為一個鋰原子插入提供空間。因此,對于1Ah的電荷,需要消耗0.2239mol碳。此部分碳的體積為1.189cm3。根據文獻可知,由于鋰離子的插入,碳基陽極材料膨脹約10%。因此,充電1Ah導致體積變化為0.12cm3。鋰離子還原為鋰金屬在負極表面析出時,假設鋰致密沉積,1Ah電荷還原的鋰金屬的體積為0.49cm3。如果鋰形成枝晶形貌(圖3),析出的鋰成蓬松狀,體積增加更大。假設鋰枝晶的占比為x%,結合該種工況下鋰枝晶的形貌,根據指定恒壓力下原位膨脹設備測得的數據和測得電池的楊氏模量,計算可得圖2(b)中0°0.5C的循環條件下,析鋰量為4%。
總結
元能科技研發的原位膨脹測試儀可以準確的檢測電池在指定工況循環下的厚度變化。其中,特定工況下的析鋰溫度、SOC窗口可以通過厚度微分等算法精確求出,并可以結合comsol模擬的鋰枝晶形態粗略計算鋰枝晶消耗的鋰離子的量。
參考文獻
[1]A new method for detecting lithium plating by measuring the cell thickness
[2]Modulation of dendritic patterns during electrodeposition: A nonlinear phase-field model
相關產品
更多
相關文章
更多
技術文章
2025-10-21技術文章
2025-10-15技術文章
2025-09-17技術文章
2025-09-09
虛擬號將在 秒后失效
使用微信掃碼撥號