
元能科技(廈門)有限公司
金牌會員
已認證

元能科技(廈門)有限公司
金牌會員
已認證
近年來,人們對電池的續航時間、安全性、快速充電等性能提出越來越高的要求。硅基負極材料因具有比容量高、安全性好、來源豐富等優點,被認為是新型高性能鋰離子電池負極材料。隨著高容量硅基負極材料(如納米硅碳和氧化亞硅碳負極材料)的發展,表面改性和元素摻雜等手段被廣泛地應用于材料性能的提升,其中預鋰化技術對于首效和電池能量密度的提升比較顯著。然而,表面改性和元素摻雜等技術往往伴隨著不穩定的因素,例如表面堿性和包覆不完整會導致納米硅暴露出來,并在制漿過程中與氫氧根離子反應產氣。在實際運用中,硅基負極材料一般使用水作為溶劑進行勻漿,但其容易同水發生反應導致漿料產氣,從而影響后續涂布工序的質量。
本文通過使用元能科技的原位產氣體積監控儀(GVM2200)監測各改性材料產氣情況,實現在材料端對改性工藝的快速篩選。
一、測試設備
1.測試設備:原位產氣體積監控儀,型號GVM2200(IEST元能科技),可調控溫度20℃~85℃。設備外觀如圖1所示。

圖1.原位產氣體積監控儀示意圖
2.測試方案及前處理:
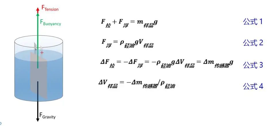
本次實驗使用鋁塑膜封裝樣品并增加配重(如下圖2所示),結合GVM2200設備,采用排水法,運用牛頓定理和阿基米德浮力定律,通過高精度傳感器實時測得樣品漿料隨時間的質量變化,進一步換算得到產氣體積變化。

圖2.制樣流程

圖3.測試原理示意圖
二、測試過程及結果討論
針對硅基負極材料首次放電效率低、電導率差、循環性能差等問題,人們進行了大量的預鋰化技術研究。通過預先加入少量的鋰源,來補充副反應和固體電解質相界面(SEI)膜形成過程中消耗的鋰,同時再結合表面改性等方案進一步改善。一方面,預鋰化劑對水敏感,易反應產生氣體;另一方面,研究表明,元素硅也易水解,產生副產物可燃氫氣:

表面包覆是較常見的表面改性方法,有單層核殼結構,多層核殼結構以及夾層結構之分。單層核殼結構是以硅顆粒為核心,外圍包覆一層導電碳材料,其中硅提供高容量,外圍碳材料可提升導電性能和緩硅膨脹,從而提升循環性能。多層核殼結構是在單層核殼結構基礎上進行多次包覆,多層包覆層間形成有效協同作用,更有效的防止硅顆粒的裸露。
選取三款不同改性硅氧材料(1#樣品為“預鋰化+A碳源二次包覆”工藝,2#樣品為“預鋰化+B碳源二次包覆”工藝,3#樣品為“預鋰化+B碳源一次包覆”工藝), 分別與去離子水按1:6混合后,按圖2方式進行封裝和預處理后,在高溫60℃隨時間的產氣情況如下圖4所示:隨著時間延長,三種改性工藝產氣量都逐漸增多。對比樣品1#和2#,說明不同的碳源對硅氧基體的包覆效果有差異。對比樣品2#和3#,前期產氣速率相近,后期急劇增大,說明多次包覆工藝可以明顯改善材料包覆的完整性。

圖4.硅碳粉末不同改性條件對產氣的影響(60℃)
在實際制漿過程中通常會加入導電劑,粘結劑等,然后再配合分散工藝得到最終的漿料。為對比樣品在配方以及純水環境下產氣差異,按如下表1配比分別配制漿料,并分別監測其在不同溫度下產氣情況。
表1.漿料配比

如圖3所示:同一配方隨測試溫度升高漿料產氣量增加,這可能與溫度升高加速樣品與氫氧根產氣反應有關。同時也發現在不同溫度條件下,產氣量皆表現出A配方漿料多于B配方漿料。這可能主要是粘結劑對產氣過程具有催化作用,從而增加產氣速率和體積。

圖5.不同配比漿料對產氣影響
文獻[1]研究表明,鋰化聚羧酸鹽(如LiPAA)粘結劑存在于溶液中時,對氣體析出具有催化作用。如圖6a所示,首先對比水和NMP對產氣的影響,結果表明NMP中Si顆粒產氣可忽略不計,而水中的Si顆粒會產生明顯的氣體。圖6b表明,鋰化程度越高的LiPAA的水系Si漿料產生的氣體體積越大。在反應(1)中,理論上每克硅的產氫量為1.7L。然而,硅水解初期表面會形成水凝膠狀二氧化硅層,減緩了水的擴散,導致氫的產率要比理論低得多。另一方面,保護層的任何不穩定都可能導致硅的快速消耗產氣,這種不穩定通常發生在堿性溶液中(硅酸鹽可以溶解的環境),這主要是因為在這些堿性會增加二氧化硅水凝膠的溶解度和孔隙率。根據該研究結果,對于CMC-Na,由于Na取代,可能同樣對Si產氣具有催化作用。因此,當漿料中添加了粘結劑之后,樣品產氣量明顯增加。

圖6.(a)Si和去離子水或NMP的漿料,不含或含有2.5wt%的PAA,和(b)含有PAA和不同鋰化程度的LiPAA(圖中百分數表示鋰化的程度)的水系Si漿料的氣體體積變化
三、小結
本文采用原位產氣體積監測儀(GVM2200)表征不同改性工藝對硅基負極漿料產氣的影響,也明確了不同配方不同溫度對漿料產氣的影響。可為硅基負極材料改性效果驗證提供一種有效驗證方法,同時也可為勻漿工藝改善提供方向。
四、參考文獻
[1] Rodrigues M F , Trask S E , Shkrob I A ,et al.Quantifying gas generation from slurries used in fabrication of Si-containing electrodes for lithium-ion cells[J].Journal of Power Sources, 2018, 395(AUG.15):289-294.DOI:10.1016/j.jpowsour.2018.05.071.
相關產品
更多
相關文章
更多
技術文章
2025-10-21技術文章
2025-10-15技術文章
2025-09-17技術文章
2025-09-09
虛擬號將在 秒后失效
使用微信掃碼撥號