
元能科技(廈門)有限公司
金牌會員
已認證

元能科技(廈門)有限公司
金牌會員
已認證
一、作者信息及文章摘要
2022年,北京理工大學 Peipei Xu博士開發了一種基于LFP電池的膨脹力曲線來預估電池SOC的方法,經過實驗驗證發現,在電池不同的工況條件下,膨脹力對SOC的變化比電壓更加敏感,因此本文提出膨脹力估計SOC的方法,首先采用LSSVM方法搭建膨脹力模型,可解決膨脹力與SOC的非單調變化問題,再結合浮動窗口法提升模型的適用性以及預估精度,最終所提出的SOC估計方法可實現預估電池不同環境溫度以及不同預緊力條件下的預估誤差在1%~0.54%之間,這是一種新穎的LFP電池的SOC估計方法。
二、試驗方案
1.本實驗中采用的LFP電池的信息如下表所示:
表1:電池信息

2.測試設備和流程:原位膨脹測試儀(IEST-SWE2100)和充放電設備(CT-8002-5V100A-NTFA)。如下圖所示:

圖1.膨脹力測試設備

圖2.電池測試流程
三、結果分析
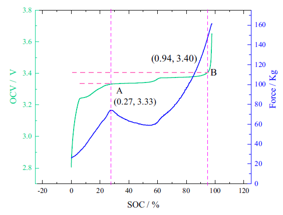
圖3為1/25C倍率條件下得到的電壓曲線和膨脹力變化曲線,從圖中可明顯看到電壓曲線在27%~94%SOC存在一個電壓平臺,此時電壓變化僅0.07V,然而在此區間的膨脹力變化卻非常明顯,這個階段的膨脹力變化主要是由于負極石墨從LiC12到LiC6的相變引起的,說明采用膨脹力預估SOC是很有前景的,但是又看到此區間內的膨脹力變化是非單調性的,因此它也會為預估的準確性帶來挑戰。

圖3. 準靜態條件下的電壓和膨脹力隨SOC的變化圖
為了驗證SOC預估模型,開展了在兩個動態工況(NEDC和DST)下,施加不同預緊力(15kg和30kg)和不同測試溫度(25℃和45℃)的膨脹力實驗。如圖4,結果顯示,在20%~90%SOC依舊存在明顯的電壓平臺,且膨脹力的變化趨勢與恒定電流充電模式下類似,說明膨脹力對電流的動態變化并不敏感,而對SOC的變化很敏感,這主要是是因為電壓依賴電極表面離子濃度的變化,而膨脹力是受電極體相離子濃度的變化。另外,電池的膨脹力會顯著隨預緊力的增加而增加,因此在電池模組設計中要重點關注預緊力的大小。

圖4.NEDC和DST循環工況下的膨脹力和電流電壓曲線圖
接下來,作者建立了LSSVM模型,并對其不斷訓練優化,結合AUKF進行SOC預估,可實現對不同溫度、不同電流動態工況、不同預緊力的SOC預估。

圖5.基于AUKF和LSSVM預估SOC的流程圖
四、總結
本文作者介紹了一種新型的利用膨脹力估計LFP電池的SOC的方法,基于LSSVM和AUKF算法,可實現估計誤差小于1%,并適用于不同的溫度、動態電流和預緊力的工況條件。未來該方法有望拓展到其他電池體系,也可進一步對不同SOH和低溫條件下的電池建立SOC預估模型。
IEST元能科技相關測試設備推薦◤
SWE系列原位膨脹分析系統(IEST元能科技):利用高度穩定且可靠的自動化平臺,搭載高精測厚傳感器,實現對電芯整個充放電過程的厚度變化量和變化速率的測量, 可實現如下功能:
1.恒壓力條件測試電池膨脹厚度曲線;
2.恒間隙條件下測試電池膨脹力曲線;
3.電池壓縮性能測試:應力應變曲線-壓縮模量;
4.電池膨脹力分步測試;
5.不同溫度控制:-20~80℃。

文獻原文
A syncretic state-of-charge estimator for LiFePO4 batteries leveraging expansion force. Journal of Energy Storage, 50 (2022) 104559.
相關產品
更多
相關文章
更多
技術文章
2025-10-21技術文章
2025-10-15技術文章
2025-09-17技術文章
2025-09-09
虛擬號將在 秒后失效
使用微信掃碼撥號