
元能科技(廈門)有限公司
金牌會員
已認證

元能科技(廈門)有限公司
金牌會員
已認證
前 言
鋰離子電池是一種搖椅式二次電池,它主要依靠鋰離子在正極和負極之間的移動來工作(圖1)。在充電過程中,鋰離子從正極中脫出,經過?電解液嵌入負極。此時,電子通過外電路從正極流向負極,形成電流。放電過程中則相反,鋰離子從負極中脫出,經過電解液返回正極,同時電子通過外電路從負極流向正極,產生電流對外供電。因此鋰離子的擴散速度和效率直接關系到電池的充/放電倍率、循環壽命和高低溫性能等。恒電流間歇滴定法(Galvanostatic Intermittent Titration Technique,GITT)是一種暫態的測量技術,其可以通過電位隨時間的變化關系量化鋰離子在電極材料中的擴散能力。[1] [2]

圖1. 鋰離子電池工作原理示意圖
恒電流間歇滴定技術(GITT)基本概述
GITT整體測試過程是由一系列“脈沖-恒電流-弛豫”過程組合而成的(圖2 )。一組“脈沖-恒電流-弛豫”過程是在一定時間內施加恒定的電流對電池進行充電/放電,而后斷開電流同時記錄整個過程的電壓變化情況,其測試的關鍵是電流的恒定以及電壓的精準。在斷開電流后的弛豫階段,需要讓鋰離子在活性物質內部進行充分擴散,通過電壓與時間的關系進一步計算擴散系數。為了滿足GITT方法“擴散過程主要發生在固相材料的表層”的假設,需要對測試條件進行一定的限定:
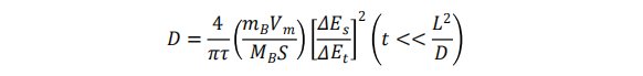
(1)恒電流脈沖的時間t要比較短,并滿足t<<L2/D,其中L為材料的特征長度,D為材料的擴散系數。
(2)弛豫時間要足夠長,以讓Li+在活性物質內部充分擴散并達到平衡狀態,可通過電壓保持穩定進行判定。

圖2. (a) GITT測試曲線和 (b) 局部放大示意圖
恒電流間歇滴定技術(GITT)的核心公式
通過GITT測試數據可以進一步計算相應的擴散系數,具體公式如下:

其中D為鋰離子擴散系數,mB為活性物質的質量,Vm為電極材料的摩爾體積,MB是材料的相對分子質量,S為電極與電解液接觸的有效表面積,τ為弛豫時間,ΔEt為充/放電過程電池電壓的變化,ΔEs弛豫階段的電壓變化,t為脈沖時間,L為電極的厚度。將對應材料的物性參數以及每組“脈沖-弛豫” 單元內的?Es和?Et代入公式即可得到鋰離子的擴散系數。一般測試時,得到的電壓變化數值不僅僅包含表面擴散的數值,還包含體現SOC變化導致的電壓變化。理論上通過降低脈沖時間的方法可以提高GITT的測試精度,但是隨著脈沖時間的變小,?Es的變化會變得很小,這就需要高測量精度的設備,從而降低噪聲。元能科技自研的充放電設備可配置8個萬一精度的測試通道,從而獲得更為精準的測試結果。
實用案例
1、不同SOC狀態下的鋰離子擴散系數
作者通過GITT測試研究LiNi0.8Co0.1Mn0.1O2(NCM811)充放電過程中鋰離子擴散系數的變化[3] 。不同SOC狀態下,鋰離子擴散系數DLi+的值變化明顯。在充電過程中DLi+的值為10-8~10-9cm2 s-1,在放電過程中DLi+的值為10-7~10-11cm2 s-1。在充電初期,DLi+隨著鋰離子的釋放而增加,在鋰含量為~0.5時達到最大值,隨后逐漸降低。當鋰含量低于0.2時,擴散系數迅速下降。另外,在放電過程中,初期DLi+極高;之后該數值略有下降,并隨著鋰離子的插入而保持在較高水平。當鋰離子嵌入含量達到0.8時,DLi+急劇下降3個數量級。這種極低的鋰離子嵌入動力學解釋了第一個循環的容量損失。

圖3. NCM811的首圈GITT曲線和Li離子擴散系數
2、材料改性對離子擴散系數的影響
作者在NASICON結構Na3V2(PO4)3(NVP)中引入高熵元素(Cr、Mn、Fe、Zn、Al)獲得Na3V1.8(CrMnFeZnAl)0.2(PO4)3(HE-NVP-0.2),以實現材料的晶體結構調整和擴散能力的提升[4]。如圖4a和4b所示,GITT結果表明引入高熵元素后HE-NVP-0.2電極表現出更為優異的Na離子擴散動力學。將NVP和HE-NVP-0.2分別組裝為半電池后測試倍率性能可知,HE-NVP-0.2 的倍率性能明顯優于NVP樣品(圖4c)。

圖4.(a) NVP和 (b) HE-NVP-0.2的 GITT曲線和對應的Na離子擴散系
總 結
鋰離子在活性物質內的擴散行為反映了電池的微觀動力學性能,也極大影響著電池的綜合表現。對不同充放電深度的電化學反應進行分段研究,可以有效找到各階段影響電池極化的關鍵因素。GITT可以有效測定鋰離子的擴散系數D,進而對電池的動力學過程進行研究。
基于GITT對鋰離子電池研究的重要性,元能科技自主研發了一款高精度電化學性能分析儀,將GITT測試集合到常規的充放電設備中,將工步模板化,設置簡單,操作方便,提高測試效率。該設備還集成了CV(循環伏安)、EIS(電化學阻抗)和LSV(線性掃描伏安法)等模塊以便于研發人員能夠快速進行相關的電化學性能研究(圖5)。并且,元能電化學分析儀配備先進的數據處理和分析軟件,能夠對復雜的電化學數據進行實時處理和多維分析。

圖5. 元能科技-電化學性能分析儀及工步預覽
參考文獻
[1] Nickol A, Schied T, Heubner C, et al. GITT analysis of lithium insertion cathodes for determining the lithium diffusion coefficient at low temperature: challenges and pitfalls[J]. Journal of The Electrochemical Society, 2020, 167(9): 090546.
[2] Tang K , Yu X , Sun J ,et al.Kinetic analysis on LiFePO4 thin films by CV, GITT, and EIS[J].Electrochimica Acta, 2011, 56(13):4869-4875.
[3] Hong C, Leng Q, Zhu J, et al. Revealing the correlation between structural evolution and Li+ diffusion kinetics of nickel-rich cathode materials in Li-ion batteries[J]. Journal of materials chemistry A, 2020, 8(17): 8540-8547.
[4] Zhou Y, Xu G, Lin J, et al. A Multicationic-Substituted Configurational Entropy-Enabled NASICON Cathode for High-Power Sodium-Ion Batteries[J]. Nano Energy, 2024: 109812.
相關產品
更多
相關文章
更多
技術文章
2025-10-21技術文章
2025-10-15技術文章
2025-09-17技術文章
2025-09-09
虛擬號將在 秒后失效
使用微信掃碼撥號