
四方光電(武漢)儀器有限公司

已認證
四方光電(武漢)儀器有限公司
已認證
隨著國家“雙碳”戰略目標的推進和全國碳排放權交易市場的開啟,越來越多的企業開始重視碳排放量核算工作。目前,國際上常用的碳排放量化方法主要分為核算法和實測法。其中,核算法是指通過活動數據乘以排放因子或通過碳質量平衡來量化碳排放量;而實測法則是通過直接測量煙氣流量和煙氣中溫室氣體濃度來計算碳排放量。大量實踐表明,在有條件安裝連續排放監測系統(CEMS)的煙氣排口,使用實測法核算碳排放量,其數據準確性更高、實時性更強,而煙氣流量的在線監測是實測法的關鍵技術之一。目前,市面上廣泛使用的煙氣流量監測技術主要有三種:皮托管流量計、熱式質量流量計和超聲波流量計。
皮托管流量計
目前國內大多煙道是采用皮托管式流量計,常用于煙道氣體流速測量的皮托管分為標準皮托管(L形皮托管)與 S形皮托管兩種。與L形皮托管相比,S形皮托管的測壓孔開口較大,不易被顆粒物堵塞,且便于在后壁煙道中使用,目前我國固定污染源煙道流速測量主要以S型皮托管為主。
S型皮托管是由 2 根外形相同的金屬管焊接而成,測頭上有2個方向相反的開口,2 個開口截面互相平行。測量時,正對氣流來向的開口稱為總壓孔,背向氣流來向的開口稱為靜壓孔,將皮托管的尾端與微壓計相連,差壓△P與流量 Q之間關系符合伯努利方程,通過測量差壓值求得流量。
其中,A表示煙道截面積;K表示流速校正系數;ΔP表示靜壓差,ρ表示氣體密度。
熱式質量流量計
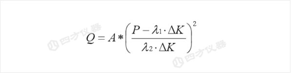
目前國內有少量煙道氣測量采用這種流量計,適用于純凈介質和流場穩定的測量環境。熱式流量計利用熱的擴散來工作,其探頭中有兩個溫度檢測原件:一個是未被加熱端,一個是加熱端。未被加熱端是用來測量流體介質自身的溫度,作為一個參照端;加熱端是測量端,其挨著熱源,用于測量被流體介質帶走后的恒熱源表面的溫度。氣體質量流量與參考端和測量端之間的溫度差成比例關系。
其中,A表示煙道截面積;P表示加熱電阻的功率;ΔK表示參考端和測量端之間的溫度差。
超聲波流量計
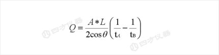
由超聲換能器和信號處理單元構成,利用聲波在流體中傳播時會因為流體的流動方向不同而傳播速度不同,測量超聲波在流體中逆流傳播時間和順流傳播時間,從而計算出流體流動的速度和流量。
其中,A表示煙道截面積;tA為超聲波順煙氣流傳輸時間;tB為超聲波逆煙氣流傳輸時間;L為超聲波傳輸路徑長度;θ為超聲波軸線與煙氣流向夾角。
市面上主流流量計技術比較
總結
通過綜合比較市面上常見的三種煙氣流量計,超聲波流量計憑借其獨特的優勢脫穎而出。它在全流速范圍內,尤其是在流速低于5m/s時,能夠提供高精度的測量結果。同時,超聲波流量計的測量下限低,對復雜工況的適應性強。其采用非接觸式測量方式,大大減少了設備的維護頻率及成本,并且具備在線自動校準功能。這些特點使得超聲波流量計特別適合在大煙道等流場紊亂的復雜環境中進行流量監測,能夠確保測量數據與現場工況的變化保持高度一致,從而提供準確、可靠的監測結果。
煙氣流量計產品推薦
相關產品
更多
相關文章
更多
技術文章
2025-10-13技術文章
2025-09-26技術文章
2025-09-17技術文章
2025-08-29虛擬號將在 秒后失效
使用微信掃碼撥號