
四方光電(武漢)儀器有限公司

已認證
四方光電(武漢)儀器有限公司
已認證
在熱處理工藝中,氣體滲氮是提升零件表面硬度、耐磨性和疲勞強度的關鍵工藝。但你知道嗎?滲氮質量的好壞,很大程度上取決于一個神秘參數——氮勢(Kn)。它如同烹飪中的“火候”,直接決定了滲氮層的性能。今天,我們就來揭開氮勢測定的技術面紗。
一、什么是氮勢?滲氮過程的 "隱形指揮官"
國標 GB/T 18177—2008《鋼件的氣體滲氮》對氨+裂解氨和氨+氮混合氣體的氮勢與測量值之間的關系給出了明確的定義:
? Kn=PNH3/PH23/2,
? PNH3:爐氣中氨氣(NH3)的分壓
? PH2:爐氣中氫氣(H2)的分壓
簡單來說,氮勢是衡量滲氮氣氛 "滲氮能力" 的核心指標,就像鹽水的咸度由鹽含量決定,滲氮氣氛的 "氮濃度" 就由氮勢來表征。Kn值越高:表面氮濃度越高,易形成硬而脆的化合物層(白亮層);Kn值過低:滲層淺、硬度不足。
二、傳統氮勢測定方法:各有局限
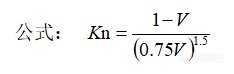
(1)氣泡瓶法(氨分解率法)
原理:這種方法用一個簡單的 "氣泡瓶" 實現:將爐氣通入水瓶,氨氣因易溶于水,水面上升的體積就是氨氣含量,從而算出氨分解率(未分解的氨越少,氨分解率越高)。
(V—氨分解率)
優點:成本極低,操作像 "化學實驗課" 一樣簡單,曾是工廠的 "標配"。
缺點:軟氮化時CO2、H2O會溶解干擾測量;人工操作誤差大,無法實時控制;僅適用于純氨或者氨分解氣氣氛。
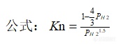
(2)氫探頭法
原理:氫是氨分解的產物,通過測量氫氣含量能間接算出氮勢(氫越多,氨分解越徹底,氮勢越低)。熱導式分析儀利用氫氣導熱性強的特點,通過熱量變化反推氫含量。
(PH2—爐氣中氫分壓)
優點:能實時監測,在線控制;技術成熟度高,具有較高的精度和長期穩定性。
缺點:使用壽命短;依賴氣體比例恒定(實際生產中難以保證);需預設水煤氣反應率,計算存在偏差;氣體雜質(水汽、油污)會污染傳感器。
(3)總結
方法 | 適用場景 | 主要缺陷 |
氣泡瓶 | 純氨滲氮 | 精度低、無法自動控制 |
氫探頭 | 恒定比例氣氛 | 抗干擾差、計算模型受限 |
三、激光技術:氮勢測定的 "精準革命"
傳統方法的痛點,倒逼出了技術革新。近年來,激光氮勢測控系統的出現,讓氮勢測定進入了 "精準時代",而它的核心武器是TDLAS 技術(可調諧半導體激光吸收光譜技術)。
TDLAS 技術就像 "激光偵探",發射精準調諧到氨氣(NH?)吸收波長的激光,穿過爐氣后,通過光強變化直接算出氨氣含量;再搭配測量氫氣的熱導傳感器,就能實時算出氮勢。
激光技術的優勢:
抗干擾:激光波長掃描范圍僅覆蓋被測氣體(NH3)的吸收光譜,避免CO2、水汽等其它氣體的干擾、"誤判" 問題。
免接觸:激光不與爐氣直接接觸,面對高溫、強腐蝕性的爐內環境也 "面不改色",壽命遠超傳統傳感器。
真實時:無需復雜預處理,數據秒級更新,即使爐內氣體比例突然變化(如中途調整氮氣、二氧化碳流量),也能精準捕捉氮勢變化。
結束語
氮勢測定從“經驗估算”到“精準感知”的跨越,背后是材料科學與傳感技術的深度融合。正如一位工程師所言:“控制好氮勢,就握住了滲氮質量的命門。”
掌握這項關鍵技術,將為高端零部件制造提供核心競爭力。如果您想深入了解氮勢控制解決方案,歡迎隨時與我們交流!
相關產品
更多
相關文章
更多
技術文章
2025-10-13技術文章
2025-09-26技術文章
2025-09-17技術文章
2025-08-29虛擬號將在 秒后失效
使用微信掃碼撥號