
麥克默瑞提克(上海)儀器有限公司
金牌會員
已認證

麥克默瑞提克(上海)儀器有限公司
金牌會員
已認證
大家做完靜態物理吸附實驗的時候,往往會對吸附等溫線數據點進行模型選擇,從而進一步分析得到所需參數,比如用 t-plot 方法計算微孔孔體積、介孔內外表面積,或用 BJH 模型計算介孔的孔徑分布等等。
大家在選擇 t-plot 和 BJH 方法時,會看到軟件相關方法界面里有 “Thickness Curve” 和 “BJH correction” 兩個子單元,子單元下又有很多以人名命名的方法。小伙伴們可能對這些各式各樣的方法感到不知所措,不知該如何選擇。其實這些以人名命名的方法都是與吸附層厚度的計算以及 BJH 方法的修正有關,均為理論模型,適用于不同情況。選擇好這些厚度計算模型和 BJH 修正方法,能使測驗的孔容積和孔徑分布計算結果更加準確。

圖1. 厚度曲線與BJH修正
首先,我們要從吸附開始說起。低溫下,在孔道中進行氣態吸附質吸附的過程,往往是從建立單層吸附層到多層吸附層的過程。

圖2. 單層到多層吸附
特別的,當孔的尺寸為介孔時(2-50 nm),吸附質氣體由于介孔的毛細管凝聚作用,會在已經存在吸附層的孔道內發生液化凝聚,這個毛細管凝聚過程可由簡單修正過的 Klevin 方程描述:

其中 P/P0 為相對壓力,γ 為液化吸附質表面張力,θ 為接觸角,?ρ 為氣、固吸附質密度差,rp 為孔半徑,t 為吸附層厚度。
那么 “BJH correction” 單元里的 Kruk-Jaroniec-Sayari(KJS 方法)和 Faas 又是什么呢?原來通過對已知孔徑的介孔硅基分子篩標準材料(如 M41S,SBA-15 和 MCM-Silicas 等)的研究,人們建立了反向修正 BJH 方法的途徑,由于 BJH 在小于 10nm 的孔徑計算上會有至多 20-30% 的低估,修正是必須的。 KJS 正是介孔材料計算式最常用的 BJH 修正方法。
至于 Fass 方法,則適用于對 BJH 計算步驟的修正。簡單來說,BJH 計算步驟涉及到脫附時毛細管中液化吸附質蒸發量和吸附層厚度減少量的分別計算,有時在進行脫附時,介孔中只發生了的吸附層厚度變化,而并沒有發生液化吸附質的氣化,這時就需要引入 Fass 修正。平常來說,大家只要選擇 KJS 修正即可。
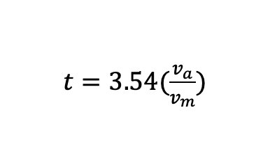
說完 BJH 修正,我們來談談吸附層厚度曲線。吸附層厚度曲線的計算模型也是五花八門,各有千秋。大家熟悉的 t-plot 圖里的橫坐標就由相對壓力變成了吸附厚度,對于無孔材料,這里做簡單的變化就可將吸附等溫線中的平衡吸附量 Va 與平衡吸附厚度 t 關聯起來:

其中 3.54 這個值就是單層氮氣吸附層厚度(單位:埃,前提是吸附質為氮氣),vm 為吸附劑對氮氣的單層飽和吸附量。
這樣我們就得到了無孔材料的 t-plot 圖中的以吸附厚度為自變量的橫軸。
但對于有孔材料,上式不能成立,需要用到各種厚度計算模型,我們將在下一篇文章中詳細說明,便于小伙伴們理解和分析數據時的選擇,請大家保持關注!
相關產品
更多
相關文章
更多
技術文章
2025-09-25技術文章
2025-08-13技術文章
2025-08-06技術文章
2025-07-09