
麥克默瑞提克(上海)儀器有限公司
16 年
金牌會員
金牌會員
已認證
撥打電話
獲取底價
提交后,商家將派代表為您專人服務

麥克默瑞提克(上海)儀器有限公司
金牌會員
已認證
如何確定冷自由空間
根據之前的自由空間測試流程圖中的過程C,在熱平衡時,根據質量平衡方程,可得到總的氣體的物質的量為:
(1)

上述方程可簡化為:

(2)

其中nt是總的氣體的物質的量,P3為此時的平衡壓力,Fm是歧管的因子(在前面的問題中有介紹),Vu為此時冷浴液面以上的樣品管體積,Tw是冷浴液面以上的區域溫度,VL是冷浴液面以下的樣品管體積,Tc是冷浴液面以下的區域溫度,FLC是冷浴液面以下的樣品管體積的因子。
在步驟2中
(3)

P2為此時的平衡壓力,Fm是歧管的因子,Ffw是熱自由空間因子。
因此,方程(2)可變為:

(4)

因為,
(5)
Vu為此時冷浴液面以上的樣品管體積,Vfw為冷自由空間體積,VL是冷浴液面以下的樣品管體積。
使用下列等式:
(6)
可得:
將方程(1)變形:

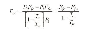
Ffc是冷自由空間因子。解出:


由此,即可解出冷自由空間體積
另外,還有一種獲取冷自由空間體積的方式,即從空管校準、樣品質量和樣品密度來進行計算。先建立空管的冷自由空間體積數據,然后根據樣品質量和樣品的真密度計算出樣品的真實體積,兩者的差值即為冷自由空間體積。
相關產品
更多
相關文章
更多
技術文章
2025-09-25技術文章
2025-08-13技術文章
2025-08-06技術文章
2025-07-09