
安東帕中國
金牌會員
已認證

安東帕中國
金牌會員
已認證

焊接質量一般是通過焊縫質量好壞來做評定,而焊縫質量取決于所焊接的物體、焊接填充物以及所選用的焊接工藝及參數。為了更好地去優化和改善焊接工藝,對于焊縫及其熱影響區進行力學性能表征是極其有意義的。
對局部彈塑性特性的興趣導致了一種新檢測技術的發展,該技術使用球形壓頭對焊縫及其熱影響區進行局部應力應變性能表征,加載期間使用振動的壓痕允許非常局部地確定試驗材料的代表性應力-應變曲線。簡單的應力應變分析在Anton-Paar壓痕軟件中實現。該方法可適用于焊縫及其附近不同區域的局部力學性能的表征。
焊縫裂紋尖端附近的彈塑性行為研究

納米壓痕儀 NHT3
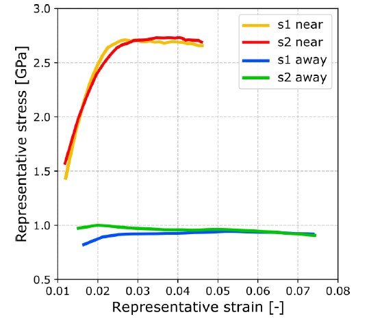
通過展示儀器化納米壓痕測試方法獲得低合金鋼焊縫中裂紋尖端附近區域和遠離裂紋尖端區域的應力應變行為。焊縫出現裂紋通常是由焊接過程中焊縫快速凝固產生的熱應力引起的,或由內部顯微結構的發生改變所引起的,導致硬度和屈服強度增加,但抗斷裂性降低。為了了解局部區域的應力應變行為,儀器化納米壓痕法是能夠提供此信息的少數方法之一,局部應力應變測量的目的是幫助理解焊縫開裂的原因。

圖1 : 靠近或遠離焊縫裂紋尖端局部區域的儀器化壓痕測試
使用Anton-Paar納米壓痕儀NHT3搭載半徑為20 μm球型針尖對兩個已經存在焊縫裂紋的樣品進行測試,以獲得局部的應力應變行為;與傳統的靜態測試方法不同的是,在這次的應用案例中將采用在加載過程增加正弦波加載方式的動態測試方法 (Sinus),選取最大載荷為500 mN,加載卸載速率為1000 mN/min,動態加載振幅為50 mN,頻率為5 Hz。

圖2:載荷位移曲線

圖3:應力應變曲線
圖2和圖3顯示了動態加載測試下獲得的壓痕曲線,以及從兩個區域的壓痕曲線中獲得的應力應變曲線。可以看出裂紋尖端附近區域的屈服強度遠高于遠離裂紋尖端的區域。屈服強度的增加通常與延展性的降低有關,這可能對焊縫的抗斷裂韌性產生至關重要影響。在外部荷載作用下,靠近裂紋尖端的材料屈服強度增加,往往會出現比基材更早斷裂的情況,因此在整個結構中是個力學薄弱點。焊縫中的斷裂會導致整個部件失效,因此應該去調整焊接參數,使裂紋尖端附近的材料具有較低的屈服應力和較高的抗斷裂性。
焊接鋁合金的應力應變行為研究
儀器化納米壓痕測試方法中應力應變分析的另一個經典應用是研究金屬焊縫周圍的彈塑性,尤其是軟金屬,例如鋁合金。鋁合金比鋼對高溫更敏感,因此,研究鋁合金的焊接熱效應尤為更重要。在本應用所提及的研究中,在加載過程中使用正弦波動態加載模式,利用球形納米壓痕針尖的特性對兩種不同的鋁合金焊縫附近的彈塑性行為進行局部表征。球形納米壓痕針尖用于確定靠近焊縫(區域A)且距離焊縫約2mm(區域B)的應力應變特性。

圖4:對比距離焊縫近的區域A和距離焊縫2mm處區域B的應力應變行為
使用NHT3納米壓痕儀搭載半徑20μm球型針尖作為表征手段,選取的最大載荷為300 mN、加載卸載速率為600 mN/min。在加載過程中采用正弦波的動態加載模式,振幅為30 mN,頻率為5 Hz。圖4展示了區域A和區域B的應力應變曲線的比較。
兩個區域表現出相類似的彈塑性行為,屈服應力約為0.3 GPa。這表明焊接過程中加熱和冷卻對材料的彈塑性性能的影響可以忽略不計。然而,并非所有情況下都是如此,焊接區域的局部應力應變行為仍然是優化焊接參數的重要信息。
攪拌摩擦焊接鋁合金的應力應變研究
攪拌摩擦焊(FSW)通常是鋁合金焊接工藝更好地選擇,而傳統電弧焊由于鋁的高導熱性而容易產生較大的熱影響區。FSW中的焊接溫度遠低于中心接觸點,因此熱效應的傳導不如弧焊中明顯。在這種情況下,將兩種不同的鋁合金AA6111-T4(T4)和AA6061-T6(T6)焊接在一起,并在距離熔核中心位置的1.1 mm、2.2 mm和3.3 mm處研究硬度、彈性模量和屈服應力。
以下參數用于壓痕:最大載荷300 mN,加載速率600 mN/min,動態加載模式下選取振幅30 mN,頻率5 Hz。
圖5的結果表明隨著距熔核距離的增加,所表現出的應力應變行為大致一樣,僅存在微小差異。在所有的三個區域的屈服應力大約為0.33 GPa(兩種基材中的屈服應力大約為0.27 GPa,圖中未顯示)。母材的硬度為0.8 GPa(T4合金)和1.1 GPa(T6合金)。所有三個區域(距焊縫熔核1.1 mm、2.2 mm和3.3 mm)的硬度均為1.1 GPa,這證實焊縫附近的彈塑性能并沒有發生顯著變化。

圖5:距熔核不同位置的應力應變曲線
Aoton-Paar自研自產的納米壓痕儀能非常好地去勝任微觀局部的應力應變分析,新一代的檢測手段的開發有助于焊接行業的進一步發展。


安東帕中國總部
銷售熱線:+86 4008202259
售后熱線:+86 4008203230
官網:www.anton-paar.cn
在線商城:shop.anton-paar.cn
最新動態
更多