
安東帕中國
金牌會員
已認證

安東帕中國
金牌會員
已認證
小角 X 射線散射儀
比表面積是多孔材料的關鍵參數之一,因此快速可靠的測定,對于開發此類材料以及在生產過程中的質量控制非常重要。在這里,我們展示了如何將小角 X 射線散射(SAXS)作為一種快速可靠的方法來確定介孔可控孔玻璃(CPG)樣品的比表面積。所得的 SAXS 結果與物理氣體(Ar 87K)吸附所得的比表面積非常一致。

多孔材料的應用非常廣泛。其獨特的性能,可用于能源儲存、建筑材料、催化劑等行業。 廣泛使用的評估多孔材料表面積的標準方法是基于 Brunauer-Emmett-Teller (BET) 方法的氣體(例如氮氣或氬氣)吸附分析。然而,這種方法存在一些局限性:
樣品制備時間長
測量時間長
僅適用于無孔和介孔/大孔材料
表面積結果的準確性取決于使用正確的吸附劑
小角 X 射線散射 (SAXS) 是廣泛應用于表征納米材料尺寸、形狀和更多結構特性方法。
SAXS 具有幾個優點:
無需樣品制備
一種非破壞性方法
測試時間短
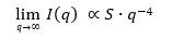
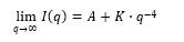
SAXS 確定表面積的理論基礎是 Porod 定律,該定律描述了散射強度 I(q) 隨著散射矢量 q 的逆四次冪逐漸向大散射角衰減。X 射線束照射的樣品體積內的總表面積 S 是一個比例因子:

為了從 SAXS 數據得到比表面積,應用主方程

其中包括確定常數背景項 A 和 Porod 常數 K。
在實際中,用于確定質量比表面積(Sm)或體積比表面積(SV),有以下兩種方法:
Invariant (K/Q) method 不變量法
Absolute-scale method 絕對標度法
本研究展示了使用 Anton Paar 的小角 X 射線散射儀 SAXSpoint 5.0 儀器對可控孔玻璃粉末樣品的 SAXS 測試。測試的 SAXS 數據根據 ISO 208044 進行處理,以確定比表面積。
實驗
結論
最新動態
更多