
諾澤流體科技(上海)有限公司

已認證
諾澤流體科技(上海)有限公司
已認證
抗真菌藥物類別及其代表性藥物:
唑類藥物:這類藥物通過抑制真菌細胞膜中麥角甾醇的合成,破壞細胞膜的完整性,導致真菌細胞死亡。代表性藥物包括酮康唑、氟康唑、伊曲康唑和伏立康唑等。
多烯類藥物:如兩性霉素B,通過與真菌細胞膜上的甾醇結合,形成通道,改變細胞膜的通透性,導致細胞內容物泄露,最終引起真菌死亡。
棘白菌素類藥物:這類藥物作為1,3-β-D-葡聚糖合成酶的非競爭性抑制劑,干擾真菌細胞壁的合成,導致真菌細胞壁通透性增加,細胞溶解,真菌死亡。代表藥物有卡泊芬凈和米卡芬凈等。
嘧啶類藥物:如5-氟胞嘧啶,通過抑制胸腺嘧啶核苷合成酶,阻斷DNA合成,并摻入RNA影響蛋白質合成,從而抑制真菌生長。
烯丙胺類藥物:如特比萘芬,通過抑制真菌細胞膜上麥角甾醇的合成,破壞細胞膜的完整性,導致真菌死亡。
嗎啉類藥物:這類藥物通過與真菌細胞壁甘露糖糖蛋白結合,形成復合物,導致胞內鉀離子外流,從而殺傷真菌。
尼可霉素類藥物:通過抑制真菌專有的幾丁質合成酶,阻斷真菌細胞壁所必需的幾丁質的合成,引起真菌細胞的膨脹和破裂。
β-1,3-D-葡聚糖合成酶抑制劑:特異性作用于真菌特有的細胞壁成分β-1,3-D-葡聚糖合成酶,阻斷真菌細胞壁的合成。
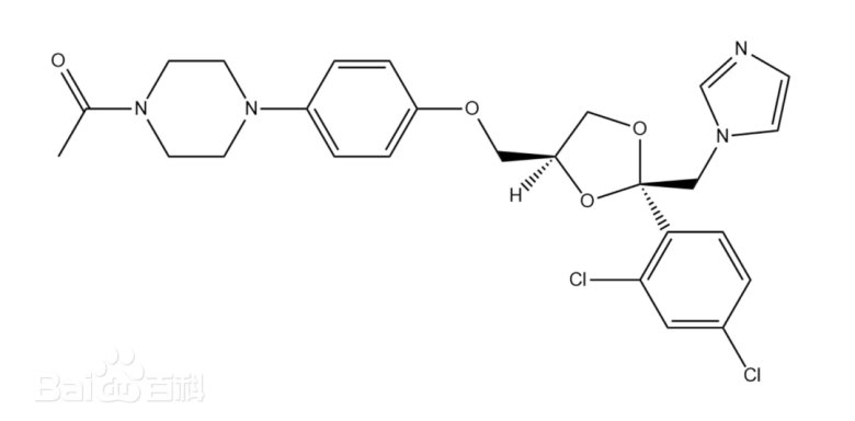
泊沙康唑
泊沙康唑(Posaconazole),是伊曲康唑的衍生物,屬于第二代三唑類抗真菌藥物。
泊沙康唑結構式
常用劑型為腸溶片、口服混懸液及注射液,其主要用于預防侵襲性曲霉素和念珠菌感染,治療口咽念珠病。
伊曲康唑
伊曲康唑(Itraconazole),是一種有機化合物,可結合真菌細胞色素P450同工酶,抑制麥角甾醇合成。
伊曲康唑結構式
常用劑型為膠囊、口服液及注射液。主要對皮膚癬菌、念珠菌屬、新生隱球菌、糠秕孢子菌屬、等感染有效。
伏立康唑
伏立康唑,是第二代三唑類抗真菌化合物,可作用于嚴重的真菌感染。常用劑型為片劑及注射液。
伏立康唑結構式
酮康唑
酮康唑是一種廣譜抗真菌藥,能抑制真菌生長或殺滅真菌。對皮膚癬菌(如發癬菌屬),表皮癬菌屬,小孢子菌屬及酵母菌(如念珠菌)都有作用。
酮康唑結構式
氣流粉碎機的處理
氣流粉碎通過高速氣流將物料顆粒化,能夠提高藥物的溶解速度和生物利用度,從而提升藥效。
生產型氣流粉碎J6
泊沙康唑粉碎后
酮康唑粉碎后
伏立康唑粉碎后
青霉素粉碎后
相關產品
更多
相關文章
更多
技術文章
2025-10-09技術文章
2025-09-15技術文章
2025-08-25技術文章
2025-08-22虛擬號將在 秒后失效
使用微信掃碼撥號