
蘇州胤煌精密儀器科技有限公司-傘棚燈、不溶性微粒

已認證
蘇州胤煌精密儀器科技有限公司-傘棚燈、不溶性微粒
已認證
觀察到的物體顏色(參見(631)color and Achromicity)取決于照明的光譜能量、物體的吸收特性以及觀察者在可見光范圍內的視覺靈敏度。同樣,任何廣泛適用的儀器方法都必須考慮這些因素。
與少數人主觀觀察顏色相比,測量顏色的儀器方法提供了更多的客觀數據。通過充分的維護和校準,儀器方法可以提供不隨時間漂移的顏色和色差的精確測量結果。任何儀器測量顏色的基礎都是人眼通過三個“受體”檢測顏色,因此,所有的顏色都可以分解為三種輻射刺激的混合物,這些輻射刺激被適當地選擇來激發眼睛中的三種受體。雖然沒有一組真實光源可以用于匹配所有顏色(即,對于所選的任何三種燈光,某些顏色需要一種或多種燈光的負數),但已經定義了三種任意刺激,通過它們可以定義所有真實顏色。通過對具有正常色覺的人類受試者進行廣泛的顏色匹配實驗,測量了每個可見波長(400 nm至700 nm)的分布系數,給出了該波長的光對每個受體的相對刺激量。這些分布系數x、y、z如下所示。類似地,對于任何顏色,眼睛中每個受體的刺激量由該顏色的一組三刺激值(X、Y和Z)定義。
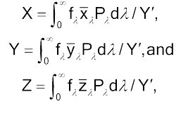
分布系數(見附圖)和三刺激值之間的關系在方程式中給出
其中是光源的光譜功率,fλ是材料的光譜反射率(rλ)或光譜透射率(tλ)
一旦確定了顏色的三刺激值,就可以使用它們來計算被稱為視覺均勻顏色空間的理想三維顏色空間中的顏色坐標。為了定義這樣一個空間,人們開發了許多顏色方程組。本章給出的方程式代表了計算簡單性和符合理想性之間的折衷。
視覺上均勻的顏色空間中的顏色坐標可用于計算顏色與所選參考點的偏差。當儀器方法被用來確定一個測試的結果,要求測試制劑與標準或匹配流體的顏色比較時,要比較的參數是在空白均勻的顏色空間中,在空白的顏色和測試樣品或標準的顏色之間的差異。
步驟
在紫外-可見光譜法下討論的注意事項也適用于儀器顏色測量。在分光光度法中,在整個可見光譜的離散波長處獲得反射率或透射率值,使用10 nm或更小的帶寬。然后,這些值通過使用加權因子來計算三刺激值。1在比色法中,通過使用過濾器進行稱重。
在不透明固體光譜反射率的測量中,觀察角度與照明角度的分離方式應確保只有從試樣漫反射的光線才能進入接收器。鏡面反射和雜散光除外。
對于透明液體光譜透射率的測量,試樣從法線的5度范圍內照射到其表面,測量的透射能量限制在法線的5度范圍內。溶液的顏色隨測量層的厚度而變化。除非特殊考慮另有規定,否則應使用1 cm厚的層。
此處描述的方法不適用于朦朧液體或半透明固體
校準
出于校準目的,可根據儀器幾何結構的要求使用以下標準物質之一。對于透射率測量,可將純化水用作白色標準,并標明所有波長的透射率為1.000。然后CIE源C的三刺激值X、Y和Z分別為98.0、100.0和118.1。對于反射率測量,可以使用不透明瓷板,其校準基礎是較好的漫反射器,并且其反射特性已根據適當的儀器幾何形狀確定。2 如果樣品呈現的幾何形狀排除使用此類瓷板,壓制硫酸鋇 ,白色反射率標準等級,可使用。3
使用上述材料校準后,盡可能接近樣品顏色測量參考材料是可取的。如果被測材料的樣品不適合用作長期標準,則可使用色片4,色片以小增量橫跨整個視覺均勻的顏色空間。鼓勵使用此類參考標準作為監測儀器性能的手段,即使用于絕對顏色測定。
分光光度法
以10 nm的間隔測定380至770 nm的反射率或透射率。將結果表示為百分比,最大值為100.0。計算三刺激值X、Y和Z,如下所示。
反射材料:
對于反射材料,X、Y和Z分別為
其中是材料的光譜反射率,xλPλ、yλPλ和zλPλ是與每個標準源相關的已知值,1,2和Δλ以nm表示
透明材料:
對于透射材料,X、Y和Z的量如上所述計算,用tλ(光譜透射率)代替rλ
比色法
操作合適的色度計5,以獲得與三刺激值X、Y和Z相等的值,通過測定強飽和顏色斑塊的三刺激值,并將這些值與分光光度計上光譜測量計算的值進行比較,可以指示從濾光片色度計獲得的結果與三刺激值匹配的精度。
注釋
Color Coordinates顏色坐標
顏色坐標L*、a*和b*由以下公式定義:
其中X0、Y0和Z0是名義上白色或無色標準的三刺激值,Y/Y0>0.01。通常它們等于標準光源的三刺激值,Y0設置為100.0。在這種情況下,X0=98.0和Z0=118.1。
Color Difference 色差
總色差ΔE* 是
式中,ΔL*、Δa*和Δb*是被比較樣本顏色坐標的差異。
工具變量可以影響結果。雖然可以在同時測量的類似顏色之間進行可靠的比較,但在不同儀器或不同操作條件下獲得的結果應謹慎進行比較。如果有必要比較從不同儀器獲得的數據或在不同時間獲取的數據等,在標準參考材料(如不透明材料的色片)上獲得伴隨數據非常有用。對比參考材料上的讀數有助于識別儀器性能引起的變化。
1 Typical weighting factors are given by ASTM Z58.7.1-1951 as reported in the Journal of the Optical Society of America, Vol. 41, 1951, pages 431-439。
2 Suitable items are available from BYK-Gardner USA, 2431 Linden Lane, Silver Spring, MD 20910, or from Hunter Associates Laboratory, Inc., 11491 Sunset Hills
Road, Reston, VA 22090.
3 Suitable material is available from Eastman Kodak Company, Rochester, NY 14650, as “White Reflectance Standard.”
4 Centroid Color Charts may be obtained from suppliers of instruments for measurement of color.
5 A suitable tristimulus colorimeter is available from BYK-Gardner USA, 2431 Linden Lane, Silver Spring, MD 20910, or from Hunter Associates Laboratory, Inc.,11491 Sunset Hill
相關產品
更多
相關文章
更多
技術文章
2025-10-10技術文章
2025-09-18技術文章
2025-09-16技術文章
2025-09-15虛擬號將在 秒后失效
使用微信掃碼撥號